题目内容
一名宇航员抵达一半径为R的星球表面后,为了测定该星球的质量,做了如下实验:将一个小球从该星球表面某位置以初速度v竖直向上抛出,小球在空中运动一段时间后又落回原抛出位置,测得小球在空中运动的时间为t,已知万有引力恒量为G,不计阻力.试根据题中所提供的条件和测量结果,求:(1)该星球表面的“重力”加速度g的大小;
(2)该星球的质量M;
(3)如果在该星球上发射一颗围绕该星球做匀速圆周运动的卫星,则该卫星运行的最小周期T为多大?
【答案】分析:(1)小球做竖直上抛运动,由运动学公式可求得该星球表面的重力加速度g;
(2)对该星球表面上的物体,由牛顿第二定律和万有引力定律求解该星球的质量.
(3)当某个质量为m′的卫星做匀速圆周运动的半径等于该星球的半径R时,该卫星运行的周期T最小,则由牛顿第二定律和万有引力定律求解.
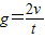
解答:解:(1)由运动学公式得:
解得该星球表面的“重力”加速度的大小
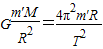
(2)质量为m的物体在该星球表面上受到的万有引力近似等于物体受到的重力,则对该星球表面上的物体,由牛顿第二定律和万有引力定律得:
解得该星球的质量为
(3)当某个质量为m′的卫星做匀速圆周运动的半径等于该星球的半径R时,该卫星运行的周期T最小,则由牛顿第二定律和万有引力定律
解得该卫星运行的最小周期
答:(1)该星球表面的“重力”加速度g的大小是
;
(2)该星球的质量M是
;
(3)如果在该星球上发射一颗围绕该星球做匀速圆周运动的卫星,则该卫星运行的最小周期T为是
.
点评:重力加速度g是天体运动研究和天体表面宏观物体运动研究联系的物理量.本题要求学生掌握两种等式:一是物体所受重力等于其吸引力;二是物体做匀速圆周运动其向心力由万有引力提供.
(2)对该星球表面上的物体,由牛顿第二定律和万有引力定律求解该星球的质量.
(3)当某个质量为m′的卫星做匀速圆周运动的半径等于该星球的半径R时,该卫星运行的周期T最小,则由牛顿第二定律和万有引力定律求解.
解答:解:(1)由运动学公式得:
解得该星球表面的“重力”加速度的大小
(2)质量为m的物体在该星球表面上受到的万有引力近似等于物体受到的重力,则对该星球表面上的物体,由牛顿第二定律和万有引力定律得:
解得该星球的质量为
(3)当某个质量为m′的卫星做匀速圆周运动的半径等于该星球的半径R时,该卫星运行的周期T最小,则由牛顿第二定律和万有引力定律
解得该卫星运行的最小周期
答:(1)该星球表面的“重力”加速度g的大小是
(2)该星球的质量M是
(3)如果在该星球上发射一颗围绕该星球做匀速圆周运动的卫星,则该卫星运行的最小周期T为是
点评:重力加速度g是天体运动研究和天体表面宏观物体运动研究联系的物理量.本题要求学生掌握两种等式:一是物体所受重力等于其吸引力;二是物体做匀速圆周运动其向心力由万有引力提供.
练习册系列答案
相关题目