题目内容
氢原子的能级是氢原子处于各个状态时的能量值,它包括氢原子系统的电势能和电子在轨道上运动的动能.氢原子的电子由外层轨道跃迁到内层轨道时( )A.原子要吸收光子,电子的动能增大
B.原子要放出光子,电子的动能增大
C.原子要吸收光子,电子的动能减小
D.原子要放出光子,电子的动能减小
【答案】分析:氢原子由高能级向低能级跃迁,放出光子,从低能级向高能级跃迁,吸收光子,根据电子轨道半径的大小,通过库仑引力提供向心力比较动能的大小.
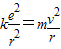
解答:解:氢原子的电子由外层轨道跃迁到内层轨道时,轨道半径减小,原子能量减小,向外辐射光子.根据
,知轨道半径越小,动能越大,知电子的动能增大.故B正确,A、C、D错误.
故选B.
点评:解决本题的关键知道从高能级向低能级跃迁,辐射光子,从低能级向高能级跃迁,吸收光子.
解答:解:氢原子的电子由外层轨道跃迁到内层轨道时,轨道半径减小,原子能量减小,向外辐射光子.根据
故选B.
点评:解决本题的关键知道从高能级向低能级跃迁,辐射光子,从低能级向高能级跃迁,吸收光子.
练习册系列答案
相关题目