题目内容
求:①推力F的大小
②若人不改变推力F的大小,只把力的方向变为水平去推这个静止的箱子,推力作用时间t=3.0s后撤去,箱子最远运动多长距离.
【答案】分析:(1)分析箱子的受力情况,作出力图,根据平衡条件和摩擦力公式求出推力.
(2)把力的方向变为水平后,箱子做匀加速运动,撤去推力F后箱子做匀减速运动,根据牛顿第二定律和运动结合求出滑行距离.
解答:解:(1)用力斜向下推时,箱子匀速运动,则有
Fcosθ=f
f=μN?
N=G+Fsinθ
联立以上三式代数据,得F=1.2×102N
?(2)若水平用力推箱子时,据牛顿第二定律,有F-μN=ma?N=G
?联立解得a=2.0m/s2
v=at=6.0m/s?
?
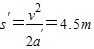
推力停止作用后
(方向向左),
?
?则
答:①推力F的大小为1.2×102N;
②箱子最远运动13.5m距离.
点评:对于动力学问题,两大分析是关键,即物体的受力情况分析和运动情况分析,采用牛顿运动定律和运动学公式结合求解是基本方法.
(2)把力的方向变为水平后,箱子做匀加速运动,撤去推力F后箱子做匀减速运动,根据牛顿第二定律和运动结合求出滑行距离.
解答:解:(1)用力斜向下推时,箱子匀速运动,则有
Fcosθ=f
f=μN?
N=G+Fsinθ
联立以上三式代数据,得F=1.2×102N
?(2)若水平用力推箱子时,据牛顿第二定律,有F-μN=ma?N=G
?联立解得a=2.0m/s2
v=at=6.0m/s?
推力停止作用后
?
?则
答:①推力F的大小为1.2×102N;
②箱子最远运动13.5m距离.
点评:对于动力学问题,两大分析是关键,即物体的受力情况分析和运动情况分析,采用牛顿运动定律和运动学公式结合求解是基本方法.
练习册系列答案
相关题目