题目内容
在电能的输送过程中,若输送的电功率一定、输电线电阻一定时,对于在输电线上损失的电功率,有如下四种判断,其中正确的是( )A.和输送电线上电压降的平方成反比
B.和输送电压的平方成正比
C.和输送电线上电压降的平方成正比
D.和输送电压的平方成反比
【答案】分析:根据P=UI、
、△U=IR判断输电线上损耗的功率与什么因素有关.
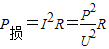
解答:解:输送的电功率一定、输电线电阻一定时,根据P=UI知,I=
,则输电线上损失的功率
,与输送电压的平方成反比.输电线上的电流I=
,所以输电线上损失的功率又等于
,与输电线上电压降的平方成正比.故C、D正确,A、B错误.
故选CD.
点评:解决本题的关键知道输电功率与输出电压和输电电流的关系,以及知道导线上功率的损失与输电电流的关系.
解答:解:输送的电功率一定、输电线电阻一定时,根据P=UI知,I=
故选CD.
点评:解决本题的关键知道输电功率与输出电压和输电电流的关系,以及知道导线上功率的损失与输电电流的关系.
练习册系列答案
相关题目
在电能的输送过程中,若输送的电功率一定、输电线电阻一定时,对于在输电线上损失的电功率,有如下四种判断,其中正确的是( )
| A、和输送电线上电压降的平方成反比 | B、和输送电压的平方成反比 | C、和输送电线上电压降的平方成正比 | D、和输送电压的平方成正比 |
在电能的输送过程中,若输送的电功率一定、输电线电阻一定时,对于在输电线上损失的电功率,有如下四种判断,其中正确的是
| A.和输送电线上电压降的平方成反比 | B.和输送电压的平方成正比 |
| C.和输送电线上电压降的平方成正比 | D.和输送电压的平方成正比 |