ÌâÄ¿ÄÚÈÝ
ijÑо¿ÐÔѧϰС×éÓÃÈçͼ£¨a£©ËùʾװÖÃÑéÖ¤»úеÄÜÊØºã¶¨ÂÉ£®Èçͼ£¨a£©ÖУ¬ÐüµãÕýÏ·½Pµã´¦·ÅÓÐˮƽ·ÅÖóãÈȵĵçÈÈË¿£¬µ±ÐüÏß°ÚÖÁµçÈÈË¿´¦Ê±ÄÜÇáÒ×±»ÉÕ¶Ï£¬Ð¡ÇòÓÉÓÚ¹ßÐÔÏòǰ·É³ö×÷ƽÅ×Ô˶¯£®ÔÚµØÃæÉÏ·ÅÉϰ×Ö½£¬ÉÏÃæ¸²¸Çן´Ð´Ö½£¬µ±Ð¡ÇòÂäÔÚ¸´Ð´Ö½ÉÏʱ£¬»áÔÚÏÂÃæ°×Ö½ÉÏÁôϺۼ££®ÓÃÖØ´¸ÏßÈ·¶¨³öA¡¢BµãµÄͶӰµãN¡¢M£®ÓÃÃ׳ßÁ¿³öANµÄ¸ß¶Èh1¡¢BMµÄ¸ß¶Èh2£¬Ëã³öA¡¢BÁ½µãµÄÊúÖ±¾àÀ룬ÔÙÁ¿³öM¡¢CÖ®¼äµÄ¾àÀës£¬¼´¿ÉÑéÖ¤»úеÄÜÊØºã¶¨ÂÉ£®ÒÑÖªÖØÁ¦¼ÓËÙ¶ÈΪg£¬Ð¡ÇòµÄÖÊÁ¿Îªm£®£¨1£©ÓÃÌâÖÐËù¸ø×Öĸ±íʾ³öСÇòƽÅ×ʱµÄ³õËÙ¶Èv=______
¡¾´ð°¸¡¿·ÖÎö£º£¨1£©¸ù¾ÝƽÅ×Ô˶¯¹æÂÉ¿ÉÒÔÇó³ö³õËٶȵĴóС£®
£¨2£©¸ù¾ÝÖØÁ¦×ö¹¦ºÍÖØÁ¦ÊÆÄܵĹØÏµ¿ÉÇó³öÖØÁ¦ÊÆÄܵļõСÁ¿£¬¸ù¾ÝˮƽËٶȵĴóС¿ÉÒÔÇó³ö¶¯ÄܵÄÔöÁ¿£®
½â´ð£º½â£º£¨1£©ÎïÌå´ÓBµãƽÅ×£¬ËùÒÔÓУº
x=vt ¢Ù
¢Ú
ÁªÁ¢¢Ù¢Ú½âµÃ£º
£®
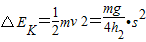
£¨2£©ÖØÁ¦ÊÆÄܵļõСÁ¿µÈÓÚÖØÁ¦×ö¹¦£º¡÷Ep=mgh=mg£¨h1-h2£©
¶¯ÄÜÔöÁ¿Îª£º
£®
¹Ê´ð°¸Îª£º£¨1£©
£» £¨2£©mg£¨h1-h2£©£¬
µãÆÀ£º±¾Ìâ½èÖúƽÅ×Ô˶¯À´ÑéÖ¤»úеÄÜÊØºã£¬Ë¼Â·ÐÂÓ±£¬Äܹ»±È½ÏÈ«Ãæ¿¼²éѧÉúÕÆÎÕ֪ʶÇé¿ö£®
£¨2£©¸ù¾ÝÖØÁ¦×ö¹¦ºÍÖØÁ¦ÊÆÄܵĹØÏµ¿ÉÇó³öÖØÁ¦ÊÆÄܵļõСÁ¿£¬¸ù¾ÝˮƽËٶȵĴóС¿ÉÒÔÇó³ö¶¯ÄܵÄÔöÁ¿£®
½â´ð£º½â£º£¨1£©ÎïÌå´ÓBµãƽÅ×£¬ËùÒÔÓУº
x=vt ¢Ù
ÁªÁ¢¢Ù¢Ú½âµÃ£º
£¨2£©ÖØÁ¦ÊÆÄܵļõСÁ¿µÈÓÚÖØÁ¦×ö¹¦£º¡÷Ep=mgh=mg£¨h1-h2£©
¶¯ÄÜÔöÁ¿Îª£º
¹Ê´ð°¸Îª£º£¨1£©
µãÆÀ£º±¾Ìâ½èÖúƽÅ×Ô˶¯À´ÑéÖ¤»úеÄÜÊØºã£¬Ë¼Â·ÐÂÓ±£¬Äܹ»±È½ÏÈ«Ãæ¿¼²éѧÉúÕÆÎÕ֪ʶÇé¿ö£®
Á·Ï°²áϵÁдð°¸
Ïà¹ØÌâÄ¿