题目内容
某种类型的飞机起飞滑行时,从静止开始做匀加速运动,加速度大小为20m/s2,当飞机滑行了90m时突然接到命令停止起飞,飞行员立即使飞机紧急制动,飞机以大小为5.0m/s2的加速度做匀减速直线运动直至停止,,问:(1)飞机2s末的速度是多少?滑行了多长的距离?
(2)飞机达到的最大速度?
(3)飞机在这种特殊的情况下能够停止起飞而不滑出跑道,跑道总长度至少要多少米?
【答案】分析:(1)根据匀变速直线运动的速度时间公式v=v+at,求出2s末的速度,再根据位移时间公式
求出2s内滑行的距离.
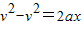
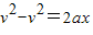
(2)飞机匀加速运动的末速度为飞机的最大速度,根据匀变速直线运动速度位移公式
,求出飞机加速阶段的末速度.
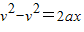
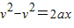
(3)根据匀变速直线运动速度位移公式
,求出匀减速运动的位移,跑道的总长度等于匀加速运动和匀减速运动的位移之和.
解答:解:(1)v=v+at=0+20×2m/s=40m/s.

故飞机2s末的速度为40m/s,通过的位移为40m.
(2)飞机匀加速运动的末速度为飞机达到的最大速度.根据
,得
.
故飞机达到最大的速度为60m/s.
(3)匀减速运动的位移
所以跑道的长度L=90+360m=450m.
故跑道的总长度至少要450m.
点评:解决本题的关键掌握匀变速直线运动的速度时间公式v=v+at,位移时间公式
和速度位移公式
.
(2)飞机匀加速运动的末速度为飞机的最大速度,根据匀变速直线运动速度位移公式
(3)根据匀变速直线运动速度位移公式
解答:解:(1)v=v+at=0+20×2m/s=40m/s.
故飞机2s末的速度为40m/s,通过的位移为40m.
(2)飞机匀加速运动的末速度为飞机达到的最大速度.根据
故飞机达到最大的速度为60m/s.
(3)匀减速运动的位移
所以跑道的长度L=90+360m=450m.
故跑道的总长度至少要450m.
点评:解决本题的关键掌握匀变速直线运动的速度时间公式v=v+at,位移时间公式
练习册系列答案
相关题目