题目内容
在做“用单摆测定重力加速度”的实验中,某同学用毫米刻度尺测得摆线长L=945.8mm;用游标卡尺测得摆球的直径如图甲所示,则摆球直径d= mm;用秒表测得单摆完成n=40次全振动的时间如图乙所示,则秒表的示数t= s;若用给定物理量符号表示当地的重力加速度g,则g= .如果该同学测得的g值偏大,可能的原因是 .(填字母代号)
A.计算摆长时没有计入摆球的半径
B.开始计时时,秒表过迟按下
C.摆线上端未牢固地系于悬点,振动中出现松动,使摆线长度增加了
D.试验中误将39次全振动数为40次.
【答案】分析:考查游标卡尺和秒表的读数:先读主尺(只读整数),再加上游标尺(格数乘以分度分之一,格数找对齐的一个不估读);秒表读数等于大盘刻度读数加上小盘刻度读数;根据单摆周期公式列式分析即可.
解答:解:直径读数:
主尺:20mm,游标尺对齐格数:3个格,读数:3×0.05=0.15mm,所以直径为:20+0.15=20.15mm;
秒表读数:
大盘读数60s,小盘读数18.4s,故时间为78.4s;
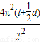
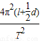
根据T=2π
得:g=
=
;
同学测得的g值偏大,说明摆长测量值偏大或者周期测量值偏小;
A、计算摆长时没有计入摆球的半径,摆长测量值偏小,故加速度测量值偏小,故A错误;
B、开始计时时,秒表过迟按下,周期测量值偏小,故加速度测量值偏大,故B正确;
C、摆线上端未牢固地系于悬点,振动中出现松动,使摆线长度增加了,故相对与原来的单摆,周期测量值偏大了,故加速度测量值偏小,故C错误;
D、试验中误将39次全振动数为40次,周期测量值偏小,故加速度测量值偏大,故D正确;
故选BD;
故答案为:20.15,78.4,
,BD.
点评:常用仪器的读数要掌握,这是物理实验的基础.掌握单摆的周期公式,从而求解加速度并进行误差分析.
解答:解:直径读数:
主尺:20mm,游标尺对齐格数:3个格,读数:3×0.05=0.15mm,所以直径为:20+0.15=20.15mm;
秒表读数:
大盘读数60s,小盘读数18.4s,故时间为78.4s;
根据T=2π
同学测得的g值偏大,说明摆长测量值偏大或者周期测量值偏小;
A、计算摆长时没有计入摆球的半径,摆长测量值偏小,故加速度测量值偏小,故A错误;
B、开始计时时,秒表过迟按下,周期测量值偏小,故加速度测量值偏大,故B正确;
C、摆线上端未牢固地系于悬点,振动中出现松动,使摆线长度增加了,故相对与原来的单摆,周期测量值偏大了,故加速度测量值偏小,故C错误;
D、试验中误将39次全振动数为40次,周期测量值偏小,故加速度测量值偏大,故D正确;
故选BD;
故答案为:20.15,78.4,
点评:常用仪器的读数要掌握,这是物理实验的基础.掌握单摆的周期公式,从而求解加速度并进行误差分析.
练习册系列答案
相关题目