题目内容
一路桥工人在长l=300米的隧道中,突然发现一汽车在离右隧道口s=150米处以速度vo=54千米/小时向隧道驶来,由于隧道内较暗,司机没有发现这名工人.此时路桥工人正好处在向左、向右以某一速度匀速跑动都恰能跑出隧道而脱险的位置.问此位置距右出口距离x是多少?他奔跑的最小速度是多大?
【答案】分析:抓住工人恰好能脱险的临界条件,据此列式计算即可.
解答:解:汽车的速度v汽=54km/h=15m/s
令工人距右隧道口的距离为x,奔跑速度为v,则由题意有:
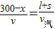
工人从右隧道口奔跑时有:
?
…①
工人从左隧道口奔跑时有:
?
…②
由①和②得:v=7.5m/s,x=75m.
答:工人距右出口距离为75m,奔跑的速度为7.5m/s.
点评:根据速度位移关系,理解题中恰能脱险的临界条件是解决本题的关键.
解答:解:汽车的速度v汽=54km/h=15m/s
令工人距右隧道口的距离为x,奔跑速度为v,则由题意有:
工人从右隧道口奔跑时有:
工人从左隧道口奔跑时有:
由①和②得:v=7.5m/s,x=75m.
答:工人距右出口距离为75m,奔跑的速度为7.5m/s.
点评:根据速度位移关系,理解题中恰能脱险的临界条件是解决本题的关键.
练习册系列答案
相关题目