题目内容
如图是一高山滑雪运动场中的滑道,BD附近是很小的一段曲道,可认为是半径均为R=40m的两圆滑连接的圆形滑道,B点和D点是两圆弧的最高点和最低点,圆弧长度远小于斜面BC长度,一个质量m=60kg的高山滑雪运动员,从A点由静止开始沿滑道滑下,刚好能从B点水平抛出,已知AB两点间的高度差为h=25m,滑道的倾角θ=37°,取g=10m/s2.求:(1)运动员在B点时的速度;
(2)若BD之间的高度差可忽略不计,求运动员在D点对轨道的压力;
(3)运动员从A点到B点的过程中克服摩擦力做的功;
(4)运动员在BC斜面的落点C到B点的距离(B点可认为是斜面上的最高点).
【答案】分析:(1)要使运动员从B点平抛则应使重力小于等于向心力,则可得出临界速度;
(2)D点时合外力充当向心力,则由向心力公式可得出运动员在D点对轨道的压力;
(3)由动能定理可求得从A点到B点的过程中克服摩擦力做的功;
(4)运动员做平抛运动,则运动的合成与分解结合几何知识可得出BC间的距离.
解答:解:(1)刚好从圆弧最高点B平抛的条件是:
得:vB=
=20m/s.
(2)由于vD≈vB且在D点有:

解得:N=mg+
=1200N
(3)在A到B段应用动能定理:
得克服摩擦力做功:Wf=3000J
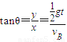
(4)由于
得:t=3s.
代入水平方向上:
x=vBt=60m.
由几何关系可知:
.
答:(1)B点的速度为20m/s;
(2)运动员对轨道的压力为1200N;
(3)运动员克服摩擦力做功为3000J;
(4)BC间的距离为75m.
点评:本题中在B点要明确重力充当向心力,即为圆周运动最高点的临界条件,也是物体做平抛运动的临界值的最小条件.
(2)D点时合外力充当向心力,则由向心力公式可得出运动员在D点对轨道的压力;
(3)由动能定理可求得从A点到B点的过程中克服摩擦力做的功;
(4)运动员做平抛运动,则运动的合成与分解结合几何知识可得出BC间的距离.
解答:解:(1)刚好从圆弧最高点B平抛的条件是:
得:vB=
(2)由于vD≈vB且在D点有:
解得:N=mg+
(3)在A到B段应用动能定理:
得克服摩擦力做功:Wf=3000J
(4)由于
得:t=3s.
代入水平方向上:
x=vBt=60m.
由几何关系可知:
答:(1)B点的速度为20m/s;
(2)运动员对轨道的压力为1200N;
(3)运动员克服摩擦力做功为3000J;
(4)BC间的距离为75m.
点评:本题中在B点要明确重力充当向心力,即为圆周运动最高点的临界条件,也是物体做平抛运动的临界值的最小条件.
练习册系列答案
相关题目