题目内容
如图所示,在平行板电容器之间有匀强电场,一带电粒子(重力不计)以速度v垂直电场线射入电场,经过时间t1穿越电场,粒子的动能由EK增加到2EK;若这个带电粒子以速度2v垂直进入该电场,经过时间t2穿越电场.求:(1)带电粒子两次穿越电场的时间之比t1:t2;
(2)带电粒子第二次穿出电场时的动能.
【答案】分析:(1)带电粒子(重力不计)以速度v垂直电场线射入电场时,只受电场力作用,做类平抛运动,采用运动的分解方法,研究粒子水平方向的运动,求出时间之比.
(2)根据动能定理得到,带电粒子第二次穿出电场时的动能与偏转距离的关系,再由第一种情况求出动能Ek与板间偏转的关系.根据运动学公式分别研究两次平抛运动的偏转距离,再求出带电粒子第二次穿出电场时的动能.
解答:解:设平行板电容器板长为L.
(1)粒子水平方向做匀速直线运动,则有
第一次:L=vt1
第二次:L=2vt2
得到,t1:t2=2:1
(2)根据动能定理得
第一次:qEy1=2EK-EK;①
第二次:qEy2=EK′-4EK;②
由y1=
,
,t1:t2=2:1 得,y1:y2=4:1,
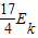
代入①②得,Ek′=
答:
(1)带电粒子两次穿越电场的时间之比t1:t2为2:1.
(2)带电粒子第二次穿出电场时的动能是
.
点评:本题是类平抛运动,运用运动的分解法进行研究是常用的思路,涉及动能时,也可以应用动能定理处理.
(2)根据动能定理得到,带电粒子第二次穿出电场时的动能与偏转距离的关系,再由第一种情况求出动能Ek与板间偏转的关系.根据运动学公式分别研究两次平抛运动的偏转距离,再求出带电粒子第二次穿出电场时的动能.
解答:解:设平行板电容器板长为L.
(1)粒子水平方向做匀速直线运动,则有
第一次:L=vt1
第二次:L=2vt2
得到,t1:t2=2:1
(2)根据动能定理得
第一次:qEy1=2EK-EK;①
第二次:qEy2=EK′-4EK;②
由y1=
代入①②得,Ek′=
答:
(1)带电粒子两次穿越电场的时间之比t1:t2为2:1.
(2)带电粒子第二次穿出电场时的动能是
点评:本题是类平抛运动,运用运动的分解法进行研究是常用的思路,涉及动能时,也可以应用动能定理处理.
练习册系列答案
相关题目