题目内容
甲、乙两物体质量相等,甲物体在力
作用下做匀加速运动,在时间
内,速度由2m/s增加到3m/s,乙物体在力
作用下做匀加速运动,在时间
内,由静止开始前进了4m,则力
和
之比为
∶
=_________.
答案:9:16
解析:
解析:
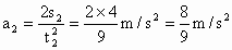
|
9∶ 16
因为 |
练习册系列答案
相关题目
| A、若甲、乙两物体与水平面动摩擦因数相同,则甲的质量较大 | B、若甲、乙两物体与水平面动摩擦因数相同,则乙的质量较大 | C、若甲、乙两物体质量相等,则甲与地面间的动摩擦因数较大 | D、若甲、乙两物体质量相等,则乙与地面的动摩擦因数较大 |