题目内容

(6分)用以下器材测量一待测电阻Rx的阻值(900~1000Ω):

电源E,具有一定内阻,电动势约为9.0V;

电压表V1,量程为1.5V,内阻r1为750Ω;

电压表V2,量程为5V,内阻r2约为2500Ω;

滑动变阻器R1,最大阻值约为100Ω;

滑动变阻器R2最大电阻约为3000Ω

单刀单掷开关K,导线若干。

测量中要求电压表的读数不小于其量程的,则滑动变阻器选择     ,测量电阻Rx表达式     (用相应物理量符号表示),在右侧方框中画出测量电阻Rx的实验电路原理图.

 

 

【答案】

 R1(1分)   (2分)  如图所示(图3分,测量电路2分,滑动变阻器接对1分)

【解析】

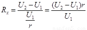
试题分析:被测量电阻Rx与V1串联,V2测量串联后电压,电源电动势为9V,则滑动变阻器选R1,采用分压接法,电路如图,Rx上电压为U2-U1,电流为U1/r,则被测量电阻为.

考点:本题考查电阻的测量方法。

 

练习册系列答案
相关题目
Ⅰ.(1)在做“研究平抛物体的运动”的实验时,让小球多次沿同一轨迹运动,通过描点法画出小球作平抛运动的轨迹,为了能较准确地描出运动的轨迹,下面列出了一些操作要求,将你认为正确的选项前面的字母填在横线上
 

A.通过调节使斜槽的末端切线水平
B.每次释放小球的位置必须不同
C.每次必须将小球由静止释放
D.记录小球位置的木条(或凹槽)每次必须等距离下降
E.小球运动时不应与木板上的白纸(或方格纸)相接触
F.将记录球的位置的纸取下后,用直尺将点连成折线
(2)某同学通过实验对平抛运动进行研究,他在坐标纸上记录了抛物线轨迹的一部分,如图1所示.O点不是抛出点,x轴沿水平方向,由图中所给的数据可求出平抛物体的初速度是
 
m/s,抛出点的坐标为
 
(g取10m/s2
精英家教网
Ⅱ.用以下器材测量一待测电灯泡Rx的阻值(900~1000Ω):
电源E,具有一定的内阻,电动势约为9.0V;
电压表V1,量程为1.5V,内阻r1=750Ω;
电压表V2,量程为5V,内阻r2=2500Ω;
滑线变阻器R,最大阻值约为100Ω;
单刀单掷开关K,导线若干.
(1)测量中要求电压表的读数不小于其量程的
13
,为了较好地测得灯泡电阻Rx,实验中要多测几组数据,试在图2中虚线框内画出进行实验的最佳电路原理图(部分元件已画出,原理图中的元件要用题中相应的英文字母标注)
(2)若电压表V1的读数用U1表示,若电压表V2的读数用U2表示,则由已知量和测得量表示Rx的公式为Rx=
 

(3)利用这个实验的装置和电路原理图进行实验,并对测得的数据进行适当的整理,能否描绘出灯泡的伏安特性曲线?答:
 

违法和不良信息举报电话:027-86699610 举报邮箱:58377363@163.com

精英家教网