题目内容

用以下器材测量一待测电阻Rx的阻值(900~1000 Ω):电源E,具有一定内阻,电动势约为9.0 V;

电压表V1,量程为1.5 V,内阻r1=750 Ω;

电压表V2,量程为5 V,内阻r2=2500 Ω;

滑线变阻器R,最大阻值约为100 Ω;

单刀单掷开关S,导线若干.

(1)测量中要求电压表的读数不小于其量程的,试画出测量电阻Rx的一种实验电路原理图(原理图中的元件要用题图中的相应的英文字母标注).

(2)根据你所画的电路原理图在题给的实物图上画出连线.

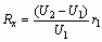
(3)若电压表V1的读数用U1表示,电压表v2的读数用U2表示,则由已知量和测得量表示Rx的公式为Rx=________.

答案:
解析:

  点拨:(1)本题中测量电阻的原理是并联分流或串联分压.由于滑动变阻器的最大阻值远小于测量部分的阻值,且电源电动势大于两电压表的量程,在调节滑动变阻器的过程中,为保证电压表的安全,且其读数有明显的改变,滑动变阻器应采用分压式控制电路,电路原理图如图甲或乙所示.

  (2)实物连线如图甲或乙所示

  (3)若采用甲电路,根据并联电路的电流分配关系,

  解得

  若采用乙电路,根据串联电路的电压分配关系,

  解得

  点评:本题主要考查电阻测量的原理、电路设计、实物连线等知识,测试设计简单实验方案的能力.①对于内阻已知的电压表,可作电流表使用.使用电表时,必须考虑电表间的量程配置,本题要求电压表读数不小于量程的,因此,电压表V2与V1的位置不能互换.②进行实物连线时,应注意以下几个问题:a.直流电表的正、负接线柱(正接线柱应连接在电路电势高端,负接线柱应连接在电路电势低端);b.电表的内外接法;c.滑动变阻器的接法(限流或分压,接通电路后,应使电表读数最小);d.开关的连接(应在干路上,闭合前电表读数为零).


练习册系列答案
相关题目
Ⅰ.(1)在做“研究平抛物体的运动”的实验时,让小球多次沿同一轨迹运动,通过描点法画出小球作平抛运动的轨迹,为了能较准确地描出运动的轨迹,下面列出了一些操作要求,将你认为正确的选项前面的字母填在横线上
 

A.通过调节使斜槽的末端切线水平
B.每次释放小球的位置必须不同
C.每次必须将小球由静止释放
D.记录小球位置的木条(或凹槽)每次必须等距离下降
E.小球运动时不应与木板上的白纸(或方格纸)相接触
F.将记录球的位置的纸取下后,用直尺将点连成折线
(2)某同学通过实验对平抛运动进行研究,他在坐标纸上记录了抛物线轨迹的一部分,如图1所示.O点不是抛出点,x轴沿水平方向,由图中所给的数据可求出平抛物体的初速度是
 
m/s,抛出点的坐标为
 
(g取10m/s2
精英家教网
Ⅱ.用以下器材测量一待测电灯泡Rx的阻值(900~1000Ω):
电源E,具有一定的内阻,电动势约为9.0V;
电压表V1,量程为1.5V,内阻r1=750Ω;
电压表V2,量程为5V,内阻r2=2500Ω;
滑线变阻器R,最大阻值约为100Ω;
单刀单掷开关K,导线若干.
(1)测量中要求电压表的读数不小于其量程的
13
,为了较好地测得灯泡电阻Rx,实验中要多测几组数据,试在图2中虚线框内画出进行实验的最佳电路原理图(部分元件已画出,原理图中的元件要用题中相应的英文字母标注)
(2)若电压表V1的读数用U1表示,若电压表V2的读数用U2表示,则由已知量和测得量表示Rx的公式为Rx=
 

(3)利用这个实验的装置和电路原理图进行实验,并对测得的数据进行适当的整理,能否描绘出灯泡的伏安特性曲线?答:
 

违法和不良信息举报电话:027-86699610 举报邮箱:58377363@163.com

精英家教网