题目内容
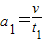
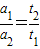
物体先做初速度为零的匀加速运动,加速度为a1,当速度达到v时,改为大小a2,作匀减速运动直至速度为零,在加速和减速过程中,物体的位移和所用时间分虽为s1,t1和s2,t2,下列关系式正确的是( )A.
B.
C.
D.
【答案】分析:根据匀变速直线运动的基本规律,
,以及a=
结合数学知识即可解题.
解答:解:匀加速过程中:

匀减速过程中:

所以
故A正确,C错误,
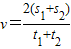
所以整个过程的平均速度也为
,即
所以
,故D正确;
,
所以
,故B错误
故选AD
点评:该题主要考查了匀变速直线运动的基本规律及相关推论,并结合数学知识解题,难度适中,属于中挡题.
解答:解:匀加速过程中:
匀减速过程中:
所以
故A正确,C错误,
所以整个过程的平均速度也为
所以
所以
故选AD
点评:该题主要考查了匀变速直线运动的基本规律及相关推论,并结合数学知识解题,难度适中,属于中挡题.
练习册系列答案
相关题目