题目内容
如图所示,理想变压器原、副线圈的匝数比为11:2,原线圈两端的输入电压
,电表均为理想电表,滑动变阻器R接入电路部分的阻值为10Ω。下列叙述中正确的是 :
![]()
A.该交流电的频率为100Hz
B.电流表的读数为4A
C.电压表的读数为![]()
D.若滑动变阻器的滑动触头P向上端移动,电流表的读数变大
【答案】
B
【解析】
试题分析:由电压公式知交流电的
,
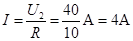
,故A错误。原线圈两端的输入电压有效值为220V,由电压与匝数成正比知,副线圈两端电压为40V(即为电压表的读数),电流表知的读数为
,故B正确、C错误。若滑动变阻器的滑动触头P向上移动,则负载电阻增大,电压不变,所以电流表示数减小,故D错误.故选B
考点:本题考查了变压器的原理、闭合电路的欧姆定律、动态分析电路。交变电流的四个值。
练习册系列答案
相关题目
| 2 |
| A、电流频率为50HZ |
| B、伏特表的读数为24V |
| C、安培表的读数为0.5A |
| D、变压器输入功率为6W |
| A、副线圈的两端M、N的输出电压不变 | B、副线圈输电线等效电阻R上的电压增大 | C、通过灯泡L1的电流增大 | D、原线圈中的电流增大 |
| A、3mA | B、48mA | C、与R的阻值有关 | D、0 |