题目内容

为了利用海洋资源,海洋工作者有时根据水流切割地磁场所产生的感应电动势来测量水的流速.假设海洋某地磁场的竖直分量为B=0.5×10-4T,水流是南北流向.如图所示将两个极竖直插入此处海水中,且保持两电极的连线垂直水流方向.若两相距L=20m,两个电极浸入水中的深度为0.6m,与两电极相连的灵敏电压表(可以看成理想电表)的读数为U=3mV,则海水的流速大小为( )
A.2.83m/s
B.3m/s
C.50m/s
D.100m/s
【答案】分析:海水向北流动时,海水中的正负离子向北流动,正负粒子受到洛伦兹力作用而向东西方向偏转,打在两极板上,在两极板间形成电场,最终正负离子受电场力和洛伦兹力合力为零时,两极板间电压不变,根据平衡平衡条件求出水的流速.
解答:解:海水中的正负粒子在洛伦兹力作用下发生偏转,聚集在两极板上,在两极板间形成电场,
当粒子受到的洛伦兹力与电场力合力为零时,两板间电压不变,由平衡条件得:
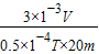
qvB=q,则海水的流速v==m/s=3m/s,故B正确;
故选B.
点评:解决本题的关键知道海水向北流动时,正负离子向北流动,受到洛伦兹力向东西方向偏转,打在两极板上,在两极板间形成电场,最终正负离子受电场力和洛伦兹力处于平衡.
练习册系列答案
相关题目

违法和不良信息举报电话:027-86699610 举报邮箱:58377363@163.com

精英家教网