ÌâÄ¿ÄÚÈÝ
ÈçͼËùʾ£¬Ô²ÐÄÔÚԵ㡢°ë¾¶ÎªRµÄÔ²½«xOyÆ½Ãæ·ÖΪÁ½¸öÇøÓò£¬ÔÚÔ²ÄÚÇøÓò¢ñ£¨r¡ÜR£©ºÍÔ²ÍâÇøÓò¢ò£¨r£¾R£©·Ö±ð´æÔÚÁ½¸öÔÈÇ¿´Å³¡£¬·½Ïò¾ù´¹Ö±ÓÚxOyÆ½Ãæ£®´¹Ö±ÓÚxOyÆ½Ãæ·ÅÖÃÁ½¿éÆ½ÃæÓ«¹âÆÁ£¬ÆäÖÐÓ«¹âÆÁ¼×ƽÐÐÓÚxÖá·ÅÖÃÔÚy=-2.2RµÄλÖã¬Ó«¹âÆÁÒÒÆ½ÐÐÓÚyÖá·ÅÖÃÔÚx=3.5RµÄλÖã®ÏÖÓÐÒ»ÊøÖÊÁ¿Îªm¡¢µçºÉÁ¿Îªq£¨q£¾0£©¡¢¶¯ÄÜΪEµÄÁ£×Ó´Ó×ø±êΪ£¨-R£¬0£©µÄAµãÑØxÖáÕý·½ÏòÉäÈëÇøÓò¢ñ£¬×îÖÕ´òÔÚÓ«¹âÆÁ¼×ÉÏ£¬³öÏÖÁÁµãNµÄ×ø±êΪ£¨0.4R£¬-2.2R£©£®Èô³·È¥Ô²Íâ´Å³¡£¬Á£×ÓÒ²´òÔÚÓ«¹âÆÁ¼×ÉÏ£¬³öÏÖÁÁµãMµÄ×ø±êΪ£¨0£¬-2.2R£©£¬´Ëʱ£¬Èô½«Ó«¹âÆÁ¼×ÑØyÖḺ·½ÏòÆ½ÒÆ£¬·¢ÏÖÁÁµãµÄxÖá×ø±êʼÖÕ±£³Ö²»±ä£®²»¼ÆÁ£×ÓÖØÁ¦Ó°Ï죮
£¨1£©ÇóÔÚÇøÓò¢ñºÍ¢òÖÐÁ£×ÓÔ˶¯ËÙ¶Èv1¡¢v2µÄ´óС£»
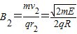
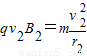
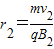
£¨2£©ÇóÔÚÇøÓò¢ñºÍ¢òÖдŸÐӦǿ¶ÈB1¡¢B2µÄ´óСºÍ·½Ïò£»
£¨3£©ÈôÉÏÊöÁ½¸ö´Å³¡±£³Ö²»±ä£¬Ó«¹âÆÁÈÔÔÚ³õʼλÖ㬵«´ÓAµãÑØxÖáÕý·½ÏòÉäÈëÇøÓò¢ñµÄÁ£×ÓÊø¸ÄΪÖÊÁ¿Îªm¡¢µçºÉÁ¿Îª-q¡¢¶¯ÄÜΪ3EµÄÁ£×Ó£¬ÇóÓ«¹âÆÁÉϳöÏÖÁÁµãµÄ×ø±ê£®
¡¾´ð°¸¡¿·ÖÎö£ºÓÉÓÚÂåÂ××ÈÁ¦¶ÔÁ£×Ó²»×ö¹¦£¬ÔòÔ˶¯µÄËÙ¶ÈÓÉÁ£×ӵ͝ÄÜÇóµÃ£®ÔÚûÓÐÔ²Íâ´Å³¡Ê±£¬Á£×Ó´ÓAµãÉäÈ룬Íê³É
Ô²»¡ºóÉä³ö£®Òò´Ë¿ÉÒÔ¸ù¾ÝÔ²Ðδų¡µÄ°ë¾¶À´Çó³öB1´Å³¡´óСÓë·½Ïò£®µ±Á£×ÓÑØyÖḺ·½ÏòÉäÈë´Å³¡B2ʱ£¬¸ù¾Ý´òµ½Ó«¹âÆÁ¼×ÉϵÄ×ø±ê£¬½áºÏ¼¸ºÎ¹ØÏµ£¬¿ÉÒÔËã³ö´Å³¡B2µÄ´óСÓë·½Ïò£®
µ±¸Ä±äµçºÉµÄµçÐÔ¼°³õ¶¯ÄÜʱ£¬ÓÉB1´Å³¡´óСÓë·½Ïò¿ÉÇó³öÁ£×ÓµÄÔ˶¯¹ìµÀ°ë¾¶£¬ÔÙÓÉB2´Å³¡´óСÓë·½Ïò¿ÉÇó³öÁ£×ÓÔڴ˵ĹìµÀ°ë¾¶£®´Ó¶øÓɼ¸ºÎ¹ØÏµ¿ÉÈ·¶¨Á£×Ó´òµ½Ó«¹âÆÁµÄ×ø±ê£®
½â´ð£º½â£º£¨1£©ÓÉÓÚÔڴų¡ÖÐÔ˶¯Ê±ÂåÂØ×ÈÁ¦²»×ö¹¦£¬ËùÒÔÔÚÇøÓò¢ñºÍ¢òÖÐÁ£×ÓÔ˶¯ËÙ¶È´óС¾ÍÊÇÔÚAµãÈëÉäʱ³õʼËÙ¶È´óСv£¬ÓÉ
¿ÉµÃ

£¨2£©Á£×ÓÔÚÇøÓò¢ñÖÐÔ˶¯ÁËËÄ·ÖÖ®Ò»Ô²Öܺ󣬴ÓCµãÑØyÖḺ·½Ïò½øÈëÇøÓò¢òµÄ´Å³¡£®Èçͼ1Ëùʾ£¬Ô²ÖÜÔ˶¯µÄÔ²ÐÄÊÇO1µã£¬°ë¾¶Îª

r1=R
ÓÉ
£¬µÃ
·½Ïò´¹Ö±xoyÆ½ÃæÏòÍ⣮
Á£×Ó½øÈëÇøÓò¢òºó×ö°ë¾¶Îªr2µÄÔ²ÖÜÔ˶¯£¬ÓÉ
£¬
¿ÉµÃ
£¬
Ô²ÖÜÔ˶¯µÄÔ²ÐÄO2×ø±êΪ£¨r2£¬-R£©£¬Ô²ÖÜÔ˶¯¹ì¼£·½³ÌΪ

½«NµãµÄ×ø±ê£¨0.4R£¬-2.2R£©´úÈëÉÏʽ£¬¿ÉµÃ
r2=2R
ÇóµÃ£º
·½Ïò´¹Ö±xoyÆ½ÃæÏòÀ
£¨3£©Èçͼ2Ëùʾ£¬Á£×ÓÏÈÔÚÇøÓò¢ñÖÐ×öÔ²ÖÜÔ˶¯£®ÓÉ
¿ÉÖª£¬
Ô˶¯ËÙ¶ÈΪ
¹ìµÀ°ë¾¶Îª
ÓÉÔ²ÐÄO3µÄ×ø±ê£¨-R£¬
£©¿ÉÖª£¬O3AÓëO3OµÄ¼Ð½ÇΪ30°£®Í¨¹ý·ÖÎöÈçͼµÄ¼¸ºÎ¹ØÏµ£¬Á£×Ó´ÓDµã´©³öÇøÓò¢ñµÄËÙ¶È·½ÏòÓëxÖáÕý·½ÏòµÄ¼Ð½ÇΪ¦È=60°
Á£×Ó½øÈëÇøÓò¢òºó×öÔ²ÖÜÔ˶¯µÄ°ë¾¶Îª
ÆäÔ²ÐÄO4µÄ×ø±êΪ£¨Rcos60°+r4cos30°£¬Rsin60°-r4sin30°£©£¬
¼´£¨
£¬
£©£¬ËµÃ÷Ô²ÐÄO4Ç¡ºÃÔÚÓ«¹âÆÁÒÒÉÏ£®ËùÒÔ£¬ÁÁµã½«³öÏÖÔÚÓ«¹âÆÁÒÒÉϵÄPµã£¬
ÆäyÖá×ø±êΪ
ÆäxÖá×ø±êΪx=3.5R£®
µãÆÀ£º¸ù¾ÝÁ£×ÓµÄ×ø±ê£¬¶¨³öÔ²ÐÄ£¬²¢»³öÔ˶¯¹ìµÀ£¬Óɼ¸ºÎ¹ØÏµÀ´È·¶¨°ë¾¶£¬´Ó¶øÇó³ö´Å¸ÐӦǿ¶È´óС¼°Åж¨Æä·½Ïò£®ÖµµÃ×¢ÒâµÄÊÇ£º´Å³¡·½ÏòÏ෴ʱÁ£×ÓÔ˶¯Ô²»¡Ëù¶ÔÓ¦µÄÔ²ÐÄÔÚÒ»ÌõÖ±ÏßÉÏ£®
µ±¸Ä±äµçºÉµÄµçÐÔ¼°³õ¶¯ÄÜʱ£¬ÓÉB1´Å³¡´óСÓë·½Ïò¿ÉÇó³öÁ£×ÓµÄÔ˶¯¹ìµÀ°ë¾¶£¬ÔÙÓÉB2´Å³¡´óСÓë·½Ïò¿ÉÇó³öÁ£×ÓÔڴ˵ĹìµÀ°ë¾¶£®´Ó¶øÓɼ¸ºÎ¹ØÏµ¿ÉÈ·¶¨Á£×Ó´òµ½Ó«¹âÆÁµÄ×ø±ê£®
½â´ð£º½â£º£¨1£©ÓÉÓÚÔڴų¡ÖÐÔ˶¯Ê±ÂåÂØ×ÈÁ¦²»×ö¹¦£¬ËùÒÔÔÚÇøÓò¢ñºÍ¢òÖÐÁ£×ÓÔ˶¯ËÙ¶È´óС¾ÍÊÇÔÚAµãÈëÉäʱ³õʼËÙ¶È´óСv£¬ÓÉ
£¨2£©Á£×ÓÔÚÇøÓò¢ñÖÐÔ˶¯ÁËËÄ·ÖÖ®Ò»Ô²Öܺ󣬴ÓCµãÑØyÖḺ·½Ïò½øÈëÇøÓò¢òµÄ´Å³¡£®Èçͼ1Ëùʾ£¬Ô²ÖÜÔ˶¯µÄÔ²ÐÄÊÇO1µã£¬°ë¾¶Îª
r1=R
ÓÉ
·½Ïò´¹Ö±xoyÆ½ÃæÏòÍ⣮
Á£×Ó½øÈëÇøÓò¢òºó×ö°ë¾¶Îªr2µÄÔ²ÖÜÔ˶¯£¬ÓÉ
¿ÉµÃ
Ô²ÖÜÔ˶¯µÄÔ²ÐÄO2×ø±êΪ£¨r2£¬-R£©£¬Ô²ÖÜÔ˶¯¹ì¼£·½³ÌΪ
½«NµãµÄ×ø±ê£¨0.4R£¬-2.2R£©´úÈëÉÏʽ£¬¿ÉµÃ
r2=2R
ÇóµÃ£º
·½Ïò´¹Ö±xoyÆ½ÃæÏòÀ
£¨3£©Èçͼ2Ëùʾ£¬Á£×ÓÏÈÔÚÇøÓò¢ñÖÐ×öÔ²ÖÜÔ˶¯£®ÓÉ
Ô˶¯ËÙ¶ÈΪ
¹ìµÀ°ë¾¶Îª
ÓÉÔ²ÐÄO3µÄ×ø±ê£¨-R£¬
Á£×Ó½øÈëÇøÓò¢òºó×öÔ²ÖÜÔ˶¯µÄ°ë¾¶Îª
ÆäÔ²ÐÄO4µÄ×ø±êΪ£¨Rcos60°+r4cos30°£¬Rsin60°-r4sin30°£©£¬
¼´£¨
ÆäyÖá×ø±êΪ
ÆäxÖá×ø±êΪx=3.5R£®
µãÆÀ£º¸ù¾ÝÁ£×ÓµÄ×ø±ê£¬¶¨³öÔ²ÐÄ£¬²¢»³öÔ˶¯¹ìµÀ£¬Óɼ¸ºÎ¹ØÏµÀ´È·¶¨°ë¾¶£¬´Ó¶øÇó³ö´Å¸ÐӦǿ¶È´óС¼°Åж¨Æä·½Ïò£®ÖµµÃ×¢ÒâµÄÊÇ£º´Å³¡·½ÏòÏ෴ʱÁ£×ÓÔ˶¯Ô²»¡Ëù¶ÔÓ¦µÄÔ²ÐÄÔÚÒ»ÌõÖ±ÏßÉÏ£®
Á·Ï°²áϵÁдð°¸
Ïà¹ØÌâÄ¿