题目内容
如图,在半径为R的半圆形光滑固定轨道右边缘,装有小定滑轮,两边用轻绳系着质量分别为m和M(M=3m)的物体,由静止释放后,M可从轨道右边缘沿圆弧滑至最低点,则它在最低点的速率为( )A.
B.2
C.2
D.
【答案】分析:M和m组成的系统,只有重力做功,机械能守恒.根据系统重力的势能的减小量等于系统动能的增加量求出m的速度.注意M的速度沿绳子方向的分速度等于m的速度,根据平行四边形定则求出M在最低点的速率.
解答:解:设M到达最低点时,m的速度为v,则M的速度
=
.
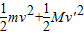
根据系统机械能守恒有:
MgR-mg.
=
又
联立两式解得:v=
.所以
.
故C正确,A、B、D错误.
故选C.
点评:解决本题的关键知道机械能守恒的条件,抓住系统重力势能的减小等于动能的增加进行求解,注意M和m的速度不等.
解答:解:设M到达最低点时,m的速度为v,则M的速度
根据系统机械能守恒有:
MgR-mg.
又
联立两式解得:v=
故C正确,A、B、D错误.
故选C.
点评:解决本题的关键知道机械能守恒的条件,抓住系统重力势能的减小等于动能的增加进行求解,注意M和m的速度不等.
练习册系列答案
相关题目