题目内容
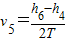
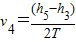
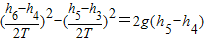
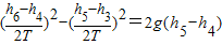
在“验证机械能守恒定律”的实验中,交流电源周期为T,得到如图所示的纸带,选用第0点和第5点进行验证,此时打第5点时质量为m的重物下落的瞬时速度表达式为______,机械能守恒定律的表达式______;如选用第4点和第5点进行验证,除图中已标明的量外,还需测量出______,此时机械能守恒定律的表达式为______.
【答案】分析:根据匀变速直线运动中时间中点的瞬时速度等于该过程中的平均速度可以求出某点的速度进一步可以求出其动能的大小,根据机械能守恒定律的内容可以求出需要验证的表达式.
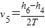
解答:解:根据匀变速直线运动中时间中点的瞬时速度等于该过程中的平均速度有:
根据mgh=△Ek,可知需要验证的表达式为:
.
如选用第4点和第5点进行验证,需要知道3、5之间的距离,因此需要测量的物理量是:h3;
此时第4点的速度为:
需要验证的表达式为:
.即
故答案为:
,
,h3,
点评:纸带问题的处理时力学实验中常见的问题.我们可以纸带法实验中,若纸带匀变速直线运动,测得纸带上的点间距,利用匀变速直线运动的推论,可计算出打出某点时纸带运动的瞬时速度和加速度.
解答:解:根据匀变速直线运动中时间中点的瞬时速度等于该过程中的平均速度有:
根据mgh=△Ek,可知需要验证的表达式为:
如选用第4点和第5点进行验证,需要知道3、5之间的距离,因此需要测量的物理量是:h3;
此时第4点的速度为:
需要验证的表达式为:
故答案为:
点评:纸带问题的处理时力学实验中常见的问题.我们可以纸带法实验中,若纸带匀变速直线运动,测得纸带上的点间距,利用匀变速直线运动的推论,可计算出打出某点时纸带运动的瞬时速度和加速度.
练习册系列答案
相关题目