题目内容
(1)有一游标卡尺,主尺的最小分度是1mm,游标上有20个小的等分刻度.用它测量一小球的直径,如图所示的读数是______mm.
(2)某同学利用如图甲所示的实验装置测量重力加速度.请指出该同学在实验操作中存在的两处明显错误或不当:①______;②______.
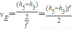
(3)该同学经正确操作得到如图乙所示的纸带,取连续的六个打点A、B、C、D、E、F为计数点,测得点A到B、C、D、E、F的距离分别为h1、h2、h3、h4、h5.若打点的频率为f,则打E点时重物速度的表达式为vE=______;若分别计算出各计数点对应的速度数值,并在坐标系中画出速度的二次方(v2)与距离(h)的关系图线,如图丙所示,则重力加速度g=______m/s2.
【答案】分析:(1)游标卡尺读数的方法是主尺读数加上游标读数,不需估读.
(2)打点计时器应接交流电源,释放的重物应紧靠打点计时器.
(3)匀变速直线运动某段时间内的平均速度等于中间时刻的瞬时速度.可以通过求DF段的平均速度表示E点的瞬时速度.根据mgh=
,
,结合图象求出重力加速度.
解答:解:(1)游标卡尺的主尺读数为13mm,游标读数为0.05×11mm=0.55mm,所以最终游标卡尺的读数为13.55mm.
(2)打点计时器应接交流电源,重物释放时应紧靠打点计时器.
(3)匀变速直线运动某段时间内的平均速度等于中间时刻的瞬时速度.所以
.
根据mgh=
,得
,知图线的斜率表示2g,所以2g=18.8,则g=9.4m/s2.
故本题答案为:(1)13.55(2)打点计时器应接交流电源,重物释放时应紧靠打点计时器(3)
,9.4
点评:解决本题的关键掌握游标卡尺的读数方法.以及会通过图象求解重力加速度.
(2)打点计时器应接交流电源,释放的重物应紧靠打点计时器.
(3)匀变速直线运动某段时间内的平均速度等于中间时刻的瞬时速度.可以通过求DF段的平均速度表示E点的瞬时速度.根据mgh=
解答:解:(1)游标卡尺的主尺读数为13mm,游标读数为0.05×11mm=0.55mm,所以最终游标卡尺的读数为13.55mm.
(2)打点计时器应接交流电源,重物释放时应紧靠打点计时器.
(3)匀变速直线运动某段时间内的平均速度等于中间时刻的瞬时速度.所以
根据mgh=
故本题答案为:(1)13.55(2)打点计时器应接交流电源,重物释放时应紧靠打点计时器(3)
点评:解决本题的关键掌握游标卡尺的读数方法.以及会通过图象求解重力加速度.
练习册系列答案
相关题目