题目内容
一物块在粗糙水平面上,受到的水平拉力F随时间t变化如图(a)所示,速度v随时间t变化如图(b)所示(g=10m/s2).求:(1)物块质量m.
(2)物块与水平面间的动摩擦因数μ.
【答案】分析:(1)由图象分析可知,在2s~4s内,物块做匀加速运动,水平拉力大小为12N;在4s~6s内,物块做匀速运动,水平拉力大小为8N,此时滑动摩擦力与拉力平衡,而且滑动摩擦力大小不变.由速度的斜率求出匀加速运动的加速度,分别用牛顿定律和平衡条件列方程,求出物块的质量.
(2)在4s~6s内,滑动摩擦力大小与拉力相等,由公式f=μN求出μ.
解答:解:(1)从图(b)中可以看出,当t=2s至t=4s过程中,物块做匀加速运动,加速度大小为
由牛顿第二定律,有
F2-μmg=ma
F3=f=μmg
所以
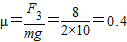
(2)由F3=f=μmg解得:

答:(1)物块质量m为2kg;
(2)物块与水平面间的动摩擦因数0.4.
点评:本题首先考查读图能力,其次要根据速度图象分析物体的运动情况,这是解决本题的基础.
(2)在4s~6s内,滑动摩擦力大小与拉力相等,由公式f=μN求出μ.
解答:解:(1)从图(b)中可以看出,当t=2s至t=4s过程中,物块做匀加速运动,加速度大小为
由牛顿第二定律,有
F2-μmg=ma
F3=f=μmg
所以
(2)由F3=f=μmg解得:
答:(1)物块质量m为2kg;
(2)物块与水平面间的动摩擦因数0.4.
点评:本题首先考查读图能力,其次要根据速度图象分析物体的运动情况,这是解决本题的基础.
练习册系列答案
相关题目