ÌâÄ¿ÄÚÈÝ
ÔÚÓýÓÔÚ50Hz½»Á÷µçÔ´ÉϵĴòµã¼ÆÊ±Æ÷²â¶¨Ð¡³µ×öÔȼÓËÙÖ±ÏßÔ˶¯µÄ¼ÓËٶȵÄʵÑéÖУ¬µÃµ½ÈçͼËùʾµÄÒ»ÌõÖ½´ø£¬´Ó±È½ÏÇåÎúµÄµã¿ªÊ¼Æð£¬·Ö±ð±êÉϼÆÊýµã0¡¢1¡¢2¡¢3¡¢4¡£¬ÏàÁÚ¼ÆÊýµãÖ®¼ä»¹ÓÐËĸöµãδ»³ö£¬Á¿µÃ0Óë1Á½µã¼äµÄ¾àÀëx1=4.00cm£¬1Óë2Á½µã¼äµÄ¾àÀëx2=6.00cm£¬2Óë3Á½µã¼äµÄ¾àÀëx3=8.00cm£®Ôò´òϲâÁ¿µã2ʱС³µµÄËÙ¶È´óСΪ m/s£¬´òÏÂ0µãʱС³µµÄËÙ¶È´óСΪ m/s£¬Ð¡³µµÄ¼ÓËÙ¶È´óСΪ m/s2£®
¡¾´ð°¸¡¿·ÖÎö£º¸ù¾ÝÔȱäËÙÖ±ÏßÔ˶¯µÄÍÆÂÛ¹«Ê½¡÷x=aT2¿ÉÒÔÇó³ö¼ÓËٶȵĴóС£¬¸ù¾ÝÔȱäËÙÖ±ÏßÔ˶¯ÖÐʱ¼äÖеãµÄËٶȵÈÓڸùý³ÌÖÐµÄÆ½¾ùËÙ¶È£¬¿ÉÒÔÇó³ö´òÖ½´øÉÏ2µãʱС³µµÄ˲ʱËÙ¶È´óС£®
½â´ð£º½â£º1¡¢ÓÉÏàÁÚ¼ÆÊýµãÖ®¼ä»¹ÓÐËĸöµãδ»³ö£¬µÃÖ½´øÉÏÏàÁÚ¼ÆÊýµã¼äµÄʱ¼ä¼ä¸ôT=0.1s
Ö½´øÉÏ2µãµÄ˲ʱËÙ¶È£¬ÓÉÔȱäËÙÖ±ÏßÔ˶¯µÄƽ¾ùËÙ¶È
=v2
½âµÃ£ºv2=0.7m/s
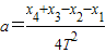
2¡¢ÏȽâÎïÌåµÄ¼ÓËÙ¶È£¬ÓÉ
ʽÖзÖ×Ó±íʾºóÁ½¶ÎÎ»ÒÆÖ®ºÍ¼õȥǰÁ½¶ÎÎ»ÒÆÖ®ºÍ£®
½âµÃ£ºa=2m/s2
3¡¢ÒÑÖª2λÖõÄËÙ¶Èv2=0.7m/s£¬Òª½â0λÖõÄËÙ¶Èv
¿ÉÓÉËÙ¶Èʱ¼ä¹ØÏµÊ½£ºv2=v+a2T
µÃ£ºv=0.3m/s
´ð£ºÖ½´øÉÏ2µãµÄ˲ʱËÙ¶È0.7m/s£»0λÖõÄËÙ¶Èv=0.3m/s£»Ð¡³µ¼ÓËÙ¶Èa=2m/s2
µãÆÀ£ºÄܹ»ÖªµÀÏàÁڵļÆÊýµãÖ®¼äµÄʱ¼ä¼ä¸ô£¬ÄÜÁé»îÓ¦ÓÃÔȱäËÙÖ±ÏßÔ˶¯Ä³¶ÎÎ»ÒÆÄ򵀮½¾ùËٶȵÈÓÚÖмäʱ¿ÌµÄ˲ʱËÙ¶È£¬»áÓÃÍÆÂÛ¹«Ê½¡÷x=aT2Çó³ö¼ÓËٶȵĴóС£®
½â´ð£º½â£º1¡¢ÓÉÏàÁÚ¼ÆÊýµãÖ®¼ä»¹ÓÐËĸöµãδ»³ö£¬µÃÖ½´øÉÏÏàÁÚ¼ÆÊýµã¼äµÄʱ¼ä¼ä¸ôT=0.1s
Ö½´øÉÏ2µãµÄ˲ʱËÙ¶È£¬ÓÉÔȱäËÙÖ±ÏßÔ˶¯µÄƽ¾ùËÙ¶È
½âµÃ£ºv2=0.7m/s
2¡¢ÏȽâÎïÌåµÄ¼ÓËÙ¶È£¬ÓÉ
ʽÖзÖ×Ó±íʾºóÁ½¶ÎÎ»ÒÆÖ®ºÍ¼õȥǰÁ½¶ÎÎ»ÒÆÖ®ºÍ£®
½âµÃ£ºa=2m/s2
3¡¢ÒÑÖª2λÖõÄËÙ¶Èv2=0.7m/s£¬Òª½â0λÖõÄËÙ¶Èv
¿ÉÓÉËÙ¶Èʱ¼ä¹ØÏµÊ½£ºv2=v+a2T
µÃ£ºv=0.3m/s
´ð£ºÖ½´øÉÏ2µãµÄ˲ʱËÙ¶È0.7m/s£»0λÖõÄËÙ¶Èv=0.3m/s£»Ð¡³µ¼ÓËÙ¶Èa=2m/s2
µãÆÀ£ºÄܹ»ÖªµÀÏàÁڵļÆÊýµãÖ®¼äµÄʱ¼ä¼ä¸ô£¬ÄÜÁé»îÓ¦ÓÃÔȱäËÙÖ±ÏßÔ˶¯Ä³¶ÎÎ»ÒÆÄ򵀮½¾ùËٶȵÈÓÚÖмäʱ¿ÌµÄ˲ʱËÙ¶È£¬»áÓÃÍÆÂÛ¹«Ê½¡÷x=aT2Çó³ö¼ÓËٶȵĴóС£®
Á·Ï°²áϵÁдð°¸
Ïà¹ØÌâÄ¿