ÌâÄ¿ÄÚÈÝ
¢ñ£®ÔÚ¡°²âµç³ØµÄµç¶¯ÊƺÍÄÚ×衱µÄʵÑéÖУ¬²âÁ¿¶ÔÏóΪ1½ÚÐÂµÄ¸Éµç³Ø£®ÓÃͼ¼×Ëùʾµç·²âÁ¿Ê±£¬Ôڽϴó·¶Î§ÄÚµ÷½Ú»¬¶¯±ä×èÆ÷£¬·¢ÏÖµçѹ±í¶ÁÊý±ä»¯²»Ã÷ÏÔ£¬ÔÒòÊÇ£º______£®¢ò£®ÎªÁËÌá¸ßʵÑ龫¶È£¬²ÉÓÃͼÒҵ緣¬ÌṩµÄÆ÷²Ä£º
Á¿³Ì3VµÄµçѹ±íV£¬Á¿³Ì0.6AµÄµçÁ÷±íA£¨¾ßÓÐÒ»¶¨ÄÚ×裩£¬¶¨Öµµç×èR£¨×èֵδ֪£¬Ô¼¼¸Å·Ä·£©£¬»¬¶¯±ä×èÆ÷R1£¨0¡«10¦¸£©£¬»¬¶¯±ä×èÆ÷R2£¨0¡«200¦¸£©£¬µ¥µ¶µ¥ÖÀ¿ª¹ØS1¡¢µ¥µ¶Ë«ÖÀ¿ª¹ØS2£¬µ¼ÏßÈô¸É£®
¢Ùµç·ÖУ¬¼Ó½Óµç×èRÓÐÁ½·½ÃæµÄ×÷Óã¬Ò»ÊÇ·½±ãʵÑé²Ù×÷ºÍÊý¾Ý²âÁ¿£¬¶þ______£®
¢ÚΪ·½±ãʵÑéµ÷½ÚÇÒÄܽÏ׼ȷµØ½øÐвâÁ¿£¬»¬¶¯±ä×èÆ÷ӦѡÓÃ______£¨ÌîR1»ò R2£©£®
¢Û¿ªÊ¼ÊµÑé֮ǰ£¬S1¡¢S2¶¼´¦ÓÚ¶Ï¿ª×´Ì¬£®ÏÖÔÚ¿ªÊ¼ÊµÑ飺
A¡¢±ÕºÏS1£¬S2´òÏò1£¬²âµÃµçѹ±íµÄ¶ÁÊýU£¬µçÁ÷±íµÄ¶ÁÊýΪI£»¿ÉÒÔ²â³öµÄÎïÀíÁ¿ÊÇ______£¬ÓòâÁ¿µÄÎïÀíÁ¿Ð´³ö±í´ïʽΪ______£®
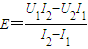
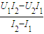
B¡¢±ÕºÏS1£¬S2´òÏò2£¬¸Ä±ä»¬¶¯±ä×èÆ÷µÄ×èÖµ£¬µ±µçÁ÷±í¶ÁÊýΪI1ʱ£¬µçѹ±í¶ÁÊýΪU1£»µ±µçÁ÷±í¶ÁÊýΪI2ʱ£¬µçѹ±í¶ÁÊýΪU2£®ÔòÐÂµç³Øµç¶¯ÊƵıí´ïʽΪE=______£¬ÄÚ×èµÄ±í´ïʽr=______£®
¡¾´ð°¸¡¿·ÖÎö£º¢ñ¡¢×÷³öµçÔ´µÄU-IͼÏ󣬸ù¾Ý±ÕºÏµç·ŷķ¶¨ÂÉ·ÖÎö¿ÉÖª£¬Í¼ÏóµÄбÂʵÈÓÚµçÔ´µÄÄÚ×裬ÔÙ·ÖÎöµçѹ±í¶ÁÊý±ä»¯²»Ã÷ÏÔµÄÔÒò£®
¢ò¡¢¢Ù¼Ó½Óµç×èR£¬Æð±£»¤×÷Óã¬ÏÞÖÆµçÁ÷£¬·ÀÖ¹µç³Ø±»¶Ì·»òµçÁ÷±í±»ÉÕ»µ£®¢ÚÓÉÓÚµç±íµÄ¶ÁÊýÔڿ̶ÈÅÌÖÐÑ븽½ü£¬Îó²î½ÏС£¬ÔòÒªÇóµç·ÖеçÁ÷½Ï´ó£¬ÔÚÈ·±£°²È«µÄǰÌáÏ£¬¿ÉÑ¡Ôñ×èÖµ½ÏСµÄ±ä×èÆ÷£®¢Û¸ù¾ÝÅ·Ä·¶¨ÂÉ·ÖÎöAËù²âÁ¿µÄÎïÀíÁ¿£®¸ù¾Ý±ÕºÏµç·ŷķ¶¨ÂÉÁз½³Ì×飬¿ÉÇó³öÐÂµç³Øµç¶¯ÊƺÍÄÚ×èµÄ±í´ïʽ£®
½â´ð£º½â£º¢ñ×÷³öµçÔ´µÄU-IͼÏ󣬸ù¾Ý±ÕºÏµç·ŷķ¶¨ÂÉ·ÖÎö¿ÉÖª£¬Í¼ÏóµÄбÂʵÈÓÚµçÔ´µÄÄÚ×裬Èçͼ£¬Í¼Ïß1µÄбÂÊСÓÚͼÏß2µÄбÂÊ£¬Ôò¶ÔÓ¦µÄµçÔ´µÄÄÚ×èͼÏß1µÄ½ÏС£¬ÓÉͼ¿ÉÒÔ¿´³ö£¬Í¼Ïß1µçÑ¹ËæµçÁ÷±ä»¯½ÏÂý£®±¾ÊµÑéÖз¢ÏÖµçѹ±í¶ÁÊý±ä»¯²»Ã÷ÏÔ£¬ÔÒòÊÇ£ºµçÔ´ÄÚ×èºÜС£®
¢ò¢Ù¼Ó½Óµç×èR£¬Æð±£»¤×÷Óã¬ÏÞÖÆµçÁ÷£¬·ÀÖ¹±ä×èÆ÷µç×è¹ýСʱ£¬µç³Ø±»¶Ì·»òµçÁ÷±í±»ÉÕ»µ
¢Ú»¬¶¯±ä×èÆ÷ӦѡÓÃR1£®ÒòΪR1µÄ×ܵç×è½ÏС£¬Ê¹µç·ÖеçÁ÷½Ï´ó£¬µçÁ÷±íÖ¸ÕëÄÜÔڿ̶ÈÅÌÖÐÑ븽½ü£¬²âÁ¿Îó²î½ÏС£®
¢Û¸ù¾ÝÅ·Ä·¶¨ÂÉ¿ÉÖª£¬¿ÉÒÔ²â³öµÄÎïÀíÁ¿ÊǶ¨Öµµç×èRºÍµçÁ÷±íÄÚ×èÖ®ºÍ£¬ÓòâÁ¿Ð´³ö±í´ïʽΪ£º
£®
B¡¢¸ù¾Ý±ÕºÏµç·ŷķ¶¨ÂɵÃ
E=U1+I1£¨R+RA+r£©¡¢Ù
E=U2+I2£¨R+RA+r£©¡¢Ú
ÁªÁ¢½âµÃ£º
r=
-£¨R+RA£©=
£®
¹Ê´ð°¸Îª£º
¢ñ¡¢µçÔ´ÄÚ×èºÜС£»
¢ò¡¢¢Ù·ÀÖ¹±ä×èÆ÷µç×è¹ýСʱ£¬µç³Ø±»¶Ì·»òµçÁ÷±í±»ÉÕ»µ£»
¢Ú¶¨Öµµç×èRºÍµçÁ÷±íÄÚ×èÖ®ºÍ£¬
£®
¢Û
£¬
£®
µãÆÀ£º±¾Ìâ¸ù¾Ý±ÕºÏµç·ŷķ¶¨ÂÉ£¬Ó÷ü°²·¨¿É²âÁ¿µçÔ´µÄµç¶¯ÊƺÍÄÚ×裬¶¨Öµµç×èRÆð±£»¤×÷Ó㬲ÉÓù«Ê½·¨´¦ÀíÊý¾Ý£®
¢ò¡¢¢Ù¼Ó½Óµç×èR£¬Æð±£»¤×÷Óã¬ÏÞÖÆµçÁ÷£¬·ÀÖ¹µç³Ø±»¶Ì·»òµçÁ÷±í±»ÉÕ»µ£®¢ÚÓÉÓÚµç±íµÄ¶ÁÊýÔڿ̶ÈÅÌÖÐÑ븽½ü£¬Îó²î½ÏС£¬ÔòÒªÇóµç·ÖеçÁ÷½Ï´ó£¬ÔÚÈ·±£°²È«µÄǰÌáÏ£¬¿ÉÑ¡Ôñ×èÖµ½ÏСµÄ±ä×èÆ÷£®¢Û¸ù¾ÝÅ·Ä·¶¨ÂÉ·ÖÎöAËù²âÁ¿µÄÎïÀíÁ¿£®¸ù¾Ý±ÕºÏµç·ŷķ¶¨ÂÉÁз½³Ì×飬¿ÉÇó³öÐÂµç³Øµç¶¯ÊƺÍÄÚ×èµÄ±í´ïʽ£®
½â´ð£º½â£º¢ñ×÷³öµçÔ´µÄU-IͼÏ󣬸ù¾Ý±ÕºÏµç·ŷķ¶¨ÂÉ·ÖÎö¿ÉÖª£¬Í¼ÏóµÄбÂʵÈÓÚµçÔ´µÄÄÚ×裬Èçͼ£¬Í¼Ïß1µÄбÂÊСÓÚͼÏß2µÄбÂÊ£¬Ôò¶ÔÓ¦µÄµçÔ´µÄÄÚ×èͼÏß1µÄ½ÏС£¬ÓÉͼ¿ÉÒÔ¿´³ö£¬Í¼Ïß1µçÑ¹ËæµçÁ÷±ä»¯½ÏÂý£®±¾ÊµÑéÖз¢ÏÖµçѹ±í¶ÁÊý±ä»¯²»Ã÷ÏÔ£¬ÔÒòÊÇ£ºµçÔ´ÄÚ×èºÜС£®
¢ò¢Ù¼Ó½Óµç×èR£¬Æð±£»¤×÷Óã¬ÏÞÖÆµçÁ÷£¬·ÀÖ¹±ä×èÆ÷µç×è¹ýСʱ£¬µç³Ø±»¶Ì·»òµçÁ÷±í±»ÉÕ»µ
¢Ú»¬¶¯±ä×èÆ÷ӦѡÓÃR1£®ÒòΪR1µÄ×ܵç×è½ÏС£¬Ê¹µç·ÖеçÁ÷½Ï´ó£¬µçÁ÷±íÖ¸ÕëÄÜÔڿ̶ÈÅÌÖÐÑ븽½ü£¬²âÁ¿Îó²î½ÏС£®
¢Û¸ù¾ÝÅ·Ä·¶¨ÂÉ¿ÉÖª£¬¿ÉÒÔ²â³öµÄÎïÀíÁ¿ÊǶ¨Öµµç×èRºÍµçÁ÷±íÄÚ×èÖ®ºÍ£¬ÓòâÁ¿Ð´³ö±í´ïʽΪ£º
B¡¢¸ù¾Ý±ÕºÏµç·ŷķ¶¨ÂɵÃ
E=U1+I1£¨R+RA+r£©¡¢Ù
E=U2+I2£¨R+RA+r£©¡¢Ú
ÁªÁ¢½âµÃ£º
r=
¹Ê´ð°¸Îª£º
¢ñ¡¢µçÔ´ÄÚ×èºÜС£»
¢ò¡¢¢Ù·ÀÖ¹±ä×èÆ÷µç×è¹ýСʱ£¬µç³Ø±»¶Ì·»òµçÁ÷±í±»ÉÕ»µ£»
¢Ú¶¨Öµµç×èRºÍµçÁ÷±íÄÚ×èÖ®ºÍ£¬
¢Û
µãÆÀ£º±¾Ìâ¸ù¾Ý±ÕºÏµç·ŷķ¶¨ÂÉ£¬Ó÷ü°²·¨¿É²âÁ¿µçÔ´µÄµç¶¯ÊƺÍÄÚ×裬¶¨Öµµç×èRÆð±£»¤×÷Ó㬲ÉÓù«Ê½·¨´¦ÀíÊý¾Ý£®
Á·Ï°²áϵÁдð°¸
Ïà¹ØÌâÄ¿
ijͬѧÓ÷ü°²·¨²â³ØµÄµç¶¯ºÍÄÚµç×裬Ëû¼Ç¼µÄÁù×éÊý¾ÝÈçϱíËùÁУ¬ÊÔ¸ù¾ÝÔÚͼÖиø³öµÄ×ø±êÖ½£¬±êÉÏI£¨A£©µÄ×ø±ê£¬»³öU-IͼÏߣ¬²¢¸ù¾ÝͼÏߣ¬¶Á³öµç³ØµÄµç¶¯ÊƦÅ=______V£¬Çó³öµç³ØÄÚ×èr=______¦¸£®
| I£¨A£© | 0.12 | 0.22 | 0.31 | 0.32 | 0.45 | 0.57 |
| U£¨V£© | 1.37 | 1.32 | 1.24 | 1.18 | 1.10 | 1.05 |