题目内容
几个做匀变速直线运动的物体,在相等的时间内位移最大的是( )A.加速度最大的物体
B.初速度最大的物体
C.末速度最大的物体
D.平均速度最大的物体
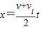
【答案】分析:由匀变速直线运动的位移公式
,可见在相等时间内平均速度最大的位移一定最大.
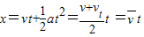
解答:解:A、由匀变速直线运动的位移公式
,可见,加速度大位移不一定大,故A错误.
B、由匀变速直线运动的位移公式
,可见,初速度大位移不一定大,故B错误.
C、由匀变速直线运动的位移公式
,可见,末速度大位移不一定大,故C错误.
D、由匀变速直线运动的位移公式
,可见,平均速度大位移一定大,故D正确.
故选:D.
点评:做匀变速直线运动的物体,在一段时间内的位移由初速度、加速度共同决定.
解答:解:A、由匀变速直线运动的位移公式
B、由匀变速直线运动的位移公式
C、由匀变速直线运动的位移公式
D、由匀变速直线运动的位移公式
故选:D.
点评:做匀变速直线运动的物体,在一段时间内的位移由初速度、加速度共同决定.
练习册系列答案
相关题目