题目内容
做匀速圆周运动的物体,当质量增大到2倍,周期减小到一半时,其向心力大小是原来的 倍,当质量不变,线速度大小不变,角速度大小增大到2倍时,其向心力大小是原来的 倍.
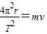
【答案】分析:根据向心力公式F=m
ω分析即可求解.
解答:解:根据向心力公式F=m
可知,当质量增大到2倍,周期减小到一半时,其向心力大小是原来的8倍
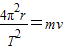
根据F=mvω可知,当质量不变,线速度大小不变,角速度大小增大到2倍时,其向心力大小是原来的2倍.
故答案为:8 2
点评:本题主要考查了向心力公式F=m
ω的直接应用,难度不大,属于基础题.
解答:解:根据向心力公式F=m
根据F=mvω可知,当质量不变,线速度大小不变,角速度大小增大到2倍时,其向心力大小是原来的2倍.
故答案为:8 2
点评:本题主要考查了向心力公式F=m
练习册系列答案
相关题目
下列关于圆周运动的说法正确的是( )
| A、做匀速圆周运动的物体,所受的合外力大小不变 | B、做圆周运动物体的加速度只改变线速度的方向 | C、做圆周运动的物体所受合外力一定与其速度方向垂直 | D、做匀速圆周运动物体的加速度是恒定的 |
下列关于机械能是否守恒的叙述正确的是( )
| A、做匀速直线运动的物体,机械能一定守恒 | B、做匀变速直线运动的物体,机械能一定守恒 | C、做匀变速曲线运动的物体,机械能一定不守恒 | D、做匀速圆周运动的物体,机械能不一定守恒 |