题目内容

在利用自由落体运动验证机械能守恒定律的实验中:

(1)打点计时器所接交流电的频率为50Hz,甲、乙两条实验纸带如图所示,应选纸带好.

(2)若通过测量纸带上某两点间距离来计算某时刻的瞬时速度,进而验证机械能守恒.现已测得2、4两点间距离为,0、3两点间距离为,打点周期为T,为了验证0、3两点间机械能守恒,则和T应江中的关系为________.

答案:略
解析:

(1)甲;(2)

(1)由于甲图中12两点间的距离(1.9mm)接近于2mm,故选甲图.

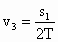
(2)3所对应的瞬时速度,物体下落听高度为,据知:

即:


练习册系列答案
相关题目

违法和不良信息举报电话:027-86699610 举报邮箱:58377363@163.com

精英家教网