题目内容
一质点作匀加速直线运动,通过一段位移△x所用时间为t1,紧接着通过下一段位移△x所用的时间为t2,则有关下列说法正确的是( )A.t1时间内质点的平均速度为
B.t2时间内时间中点的速度为
C.t1和t2的关系为:
D.该质点运动的加速度为
【答案】分析:平均速度公式为
.质点作匀加速直线运动时,一段时间内的平均速度等于中点时刻的瞬时速度.当质点通过第一段位移的初速度为零时,有
.根据位移公式求解加速度.
解答:解:
A、质点通过第一段位移△x所用时间为t1,则t1时间内质点的平均速度为
=
.故A正确.
B、质点通过第二段位移△x所用时间为t2,t2时间内质点的平均速度为
=
,根据推论可知,t2时间内时间中点的速度等于t2时间内质点的平均速度,即为
.故B正确.
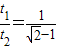
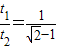
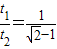
C、只有当质点通过第一段位移的初速度为零时,才有
,而题目中此初速度情况未知,所以t1和t2的关系不一定为
.故C错误.
D、设该质点运动的加速度为a.t1时间内质点的平均速度为
,则t2时间内时间中点的速度为
,则有
a=
=
.故D错误.
故选AB
点评:本题要掌握匀变速直线运动的几个重要推论,可以提高解题速度.求加速度,也可以由位移这样列式:△x=vt1+
△x=v(t1+t2)+
,求出加速度a.
解答:解:
A、质点通过第一段位移△x所用时间为t1,则t1时间内质点的平均速度为
B、质点通过第二段位移△x所用时间为t2,t2时间内质点的平均速度为
C、只有当质点通过第一段位移的初速度为零时,才有
D、设该质点运动的加速度为a.t1时间内质点的平均速度为
a=
故选AB
点评:本题要掌握匀变速直线运动的几个重要推论,可以提高解题速度.求加速度,也可以由位移这样列式:△x=vt1+
△x=v(t1+t2)+
练习册系列答案
相关题目