题目内容
甲、乙两物体在同一水平轨道上,一前一后相距S,乙在前,甲在后,某时刻两者同时开始运动,甲做初速度为v,加速度为a1的匀加速运动,乙做初速度为零,加速度为a2的匀加速运动,假设甲能从乙旁边通过,下述情况可能发生的是( )A.a1=a2,一定相遇一次
B.a1<a2,可能相遇二次
C.a1>a2,可能相遇二次
D.a1<a2,可能相遇一次或不相遇
【答案】分析:如果甲能从乙旁边通过,甲与乙的位移之差等于S,设经过时间为t,根据位移关系列出位移与时间的表达式,当t有两解时,两物体相遇两次;当t有一解时,两物体相遇一次;当t无解时,两物体不可能相遇.运用数学知识进行讨论.
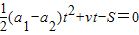
解答:解:设经过时间t甲从乙旁边通过,则有
S=(vt+
)-
整理得

则△=
+4(a1-a2)S
A、当a1=a2时,△>0,t有一解,两物体相遇一次.故A正确.
B、当a1<a2时,而且
时,△>0,t有两解,可能相遇二次.故B正确.
C、当a1>a2,两物体只可能相遇一次.故C错误.
D、当a1<a2时,若
=4(a2-a1)S时,△=0,t有一解,可能相遇一次.若
<4(a2-a1)S时,△<0,t无解,两物体不可能相遇.故D正确.
故选ABD
点评:本题是相遇问题,难点是运用数学知识分析物理问题,这是高考考查的五大能力之一
解答:解:设经过时间t甲从乙旁边通过,则有
S=(vt+
整理得
则△=
A、当a1=a2时,△>0,t有一解,两物体相遇一次.故A正确.
B、当a1<a2时,而且
C、当a1>a2,两物体只可能相遇一次.故C错误.
D、当a1<a2时,若
故选ABD
点评:本题是相遇问题,难点是运用数学知识分析物理问题,这是高考考查的五大能力之一
练习册系列答案
相关题目
甲、乙两物体在同一水平面上作匀变速直线运动,甲做加速运动,经过1s速度由5m/s增加到10m/s;乙做减速运动,经过8s速度由20m/s减小到0,则( )
| A、甲的速度变化量大,甲的加速度大 | B、甲的速度变化量大,乙的加速度大 | C、乙的速度变化量大,甲的加速度大 | D、乙的速度变化量大,乙的加速度大 |