题目内容
由于轨道调整的需要,“嫦娥二号”绕月做圆周运动的半径减小,则它的( )A.线速度变小
B.加速度变大
C.周期变大
D.向心力变大
【答案】分析:根据万有引力提供向心力,求出线速度、周期、向心加速度与轨道半径的关系,从而比较出大小.
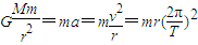
解答:解:根据
得,
a=
,v=
,
,轨道半径越小,加速度越大,线速度越大,周期越小,向心力越大.故B、D正确,A、C错误.
故选BD.
点评:解决本题的关键掌握万有引力提供向心力,知道线速度、周期、向心加速度与轨道半径的关系.
解答:解:根据
a=
故选BD.
点评:解决本题的关键掌握万有引力提供向心力,知道线速度、周期、向心加速度与轨道半径的关系.
练习册系列答案
相关题目