题目内容
如图甲所示,光滑水平面上停放着一辆上表面粗糙的平板车,一小金属块以水平速度v滑到平板车上,在0~t时间内它们的速度随时间变化的图象如图乙所示,求:(1)小金属块与平板车的质量之比
(2)小金属块与平板车上表面间的动摩擦因数;
(3)若小金属块刚好没滑离平板车,则平板车的长度为多少.
【答案】分析:(1)以平板车和小金属块为研究对象,由平板车和小金属块组成的系统不受外力,所以动量守恒,根据动量守恒定律即可求解;
(2)以小金属块为研究对象,由动量定理即可求解动摩擦因素;
(3)设小金属块与平板车最后的共同速度为v,由动量守恒定律结合能力守恒即可求解.
解答:解:(1)以平板车和小金属块为研究对象,由平板车和小金属块组成的系统不受外力,所以动量守恒:
代入数据得:
(2))以小金属块为研究对象,由动量定理:
-
代入数据得:
(3)设小金属块与平板车最后的共同速度为v,由动量守恒定律:
mv=(M+m)v
得:
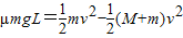
由能量守恒得:
解得:L=
答:(1)小金属块与平板车的质量之比
为
;
(2)小金属块与平板车上表面间的动摩擦因数为
;
(3)若小金属块刚好没滑离平板车,则平板车的长度为
.
点评:本题主要考查了动量守恒定律及能力守恒定律得直接应用,难度适中.
(2)以小金属块为研究对象,由动量定理即可求解动摩擦因素;
(3)设小金属块与平板车最后的共同速度为v,由动量守恒定律结合能力守恒即可求解.
解答:解:(1)以平板车和小金属块为研究对象,由平板车和小金属块组成的系统不受外力,所以动量守恒:
代入数据得:
(2))以小金属块为研究对象,由动量定理:
-
代入数据得:
(3)设小金属块与平板车最后的共同速度为v,由动量守恒定律:
mv=(M+m)v
得:
由能量守恒得:
解得:L=
答:(1)小金属块与平板车的质量之比
(2)小金属块与平板车上表面间的动摩擦因数为
(3)若小金属块刚好没滑离平板车,则平板车的长度为
点评:本题主要考查了动量守恒定律及能力守恒定律得直接应用,难度适中.
练习册系列答案
相关题目