题目内容
“探究加速度与力的关系”的实验装置如右图.下图为某同学在平衡摩擦力后中打出的一条纸带,为了求出小车的加速度,他量出相邻两计数点间的距离.其中打计数点2时小车的速度为______m/s,小车的加速度a=______ m/s2.
【答案】分析:小车做的是匀加速直线运动,打2这个点时的速度是点1到3中间时刻的瞬时速度,它的大小就等于点1到3的平均速度;加速度我们可由匀变速直线运动的推论:△x=at2求解.
解答:解:2是1到3的中间时刻,故:

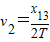
x13=1.90+2.40=4.30cm=0.0430m
每两个计数点间有4个计时点,故:T=0.02×5=0.1s
代入数据得:
=0.215m/s
设:点0到点2间的位移为x1,点2到点4间的位移为x2,
由匀变速直线运动的推论:△x=at2得:
x2-x1=at2,(注意:t是发生x1或x2这个位移所用的时间,t=0.2s)
代入数据得:(2.90+2.40-1.40-1.90)×10-2=a×0.22
解得:a=0.5m/s2
故答案为:0.215;0.5
点评:从纸带上求某点的速度和求物体的加速度是处理纸带的两个主要问题,是做好高中物理其它应用到打点计时器实验的基础,一定要熟练的掌握.
解答:解:2是1到3的中间时刻,故:
x13=1.90+2.40=4.30cm=0.0430m
每两个计数点间有4个计时点,故:T=0.02×5=0.1s
代入数据得:
设:点0到点2间的位移为x1,点2到点4间的位移为x2,
由匀变速直线运动的推论:△x=at2得:
x2-x1=at2,(注意:t是发生x1或x2这个位移所用的时间,t=0.2s)
代入数据得:(2.90+2.40-1.40-1.90)×10-2=a×0.22
解得:a=0.5m/s2
故答案为:0.215;0.5
点评:从纸带上求某点的速度和求物体的加速度是处理纸带的两个主要问题,是做好高中物理其它应用到打点计时器实验的基础,一定要熟练的掌握.
练习册系列答案
相关题目