ÌâÄ¿ÄÚÈÝ
Èçͼ£¬ÖÊÁ¿m=2kgµÄÎïÌå¾²Ö¹ÓÚˮƽµØÃæµÄA´¦£¬A¡¢B¼ä¾àL=20m¡£ÓôóСΪ30N£¬ÑØË®Æ½·½ÏòµÄÍâÁ¦À´ËÎïÌ壬¾t0=2sÀÖÁB´¦¡£(ÒÑÖªcos37¡ã=0.8£¬sin37¡ã=0.6¡£È¡g=10m/s2)
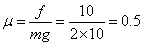
(1)ÇóÎïÌåÓëµØÃæ¼äµÄ¶¯Ä¦²ÁÒòÊý¦Ì£»
(2)ÓôóСΪ30N£¬Óëˮƽ·½Ïò³É37¡ãµÄÁ¦Ð±ÏòÉÏÀ´ËÎïÌ壬ʹÎïÌå´ÓA´¦Óɾ²Ö¹¿ªÊ¼Ô˶¯²¢Äܵ½´ïB´¦£¬Çó¸ÃÁ¦×÷ÓõÄ×î¶Ìʱ¼ät¡£
(1)ÇóÎïÌåÓëµØÃæ¼äµÄ¶¯Ä¦²ÁÒòÊý¦Ì£»
(2)ÓôóСΪ30N£¬Óëˮƽ·½Ïò³É37¡ãµÄÁ¦Ð±ÏòÉÏÀ´ËÎïÌ壬ʹÎïÌå´ÓA´¦Óɾ²Ö¹¿ªÊ¼Ô˶¯²¢Äܵ½´ïB´¦£¬Çó¸ÃÁ¦×÷ÓõÄ×î¶Ìʱ¼ät¡£
½â£º(1)ÎïÌå×öÔȼÓËÙÔ˶¯
¡à
ÓÉÅ£¶ÙµÚ¶þ¶¨ÂÉ

¡à
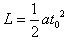
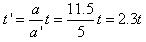
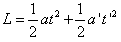
(2)ÉèF×÷ÓõÄ×î¶Ìʱ¼äΪt£¬Ð¡³µÏÈÒÔ´óСΪaµÄ¼ÓËÙ¶ÈÔȼÓËÙÃ룬³·È¥ÍâÁ¦ºó£¬ÒÔ´óСΪa'£¬µÄ¼ÓËÙ¶ÈÔȼõËÙt'Ãëµ½´ïB´¦£¬ËÙ¶ÈǡΪ0£¬ÓÉÅ£¶Ù¶¨ÂÉ

¡à

ÓÉÓÚÔȼÓËٽ׶εÄÄ©Ëٶȼ´ÎªÔȼõËٽ׶εijõËÙ¶È£¬Òò´ËÓÐ
¡à

¡à
¡à
ÓÉÅ£¶ÙµÚ¶þ¶¨ÂÉ
¡à
(2)ÉèF×÷ÓõÄ×î¶Ìʱ¼äΪt£¬Ð¡³µÏÈÒÔ´óСΪaµÄ¼ÓËÙ¶ÈÔȼÓËÙÃ룬³·È¥ÍâÁ¦ºó£¬ÒÔ´óСΪa'£¬µÄ¼ÓËÙ¶ÈÔȼõËÙt'Ãëµ½´ïB´¦£¬ËÙ¶ÈǡΪ0£¬ÓÉÅ£¶Ù¶¨ÂÉ
¡à
ÓÉÓÚÔȼÓËٽ׶εÄÄ©Ëٶȼ´ÎªÔȼõËٽ׶εijõËÙ¶È£¬Òò´ËÓÐ
¡à
¡à
Á·Ï°²áϵÁдð°¸
Ïà¹ØÌâÄ¿