题目内容
下面是一个示波管工作原理图,初速度为零的电子经电压为U1的电场加速后垂直进入偏转电场,两平行板间的距离为d,板长L1,偏转电压为U2.S为屏,与极板垂直,到极板的距离L2.已知电子电量e,电子质量m.不计电子所受的重力.(1)电子进入偏转电场的速度v是多少?
(2)电子离开偏转电场时的偏转量y1为多少?(用U1、U2、d、L1表示)
(3)电子到达屏S上时,它离O点的距离y是多少?(用U1、U2、d、L1、L2表示)
【答案】分析:根据动能定理求出电子进入偏转电场的速度.电子进入偏转电场后,做类平抛运动,在沿电场方向上做初速度为零的匀加速直线运动,根据运动学公式,求出偏转量.电子出偏转电场后,做匀速直线运动,电子到达屏上距离O点的距离等于在偏转电场中的偏转量与出电场匀速直线运动在竖直方向上的位移之和.也可用相似比直接求距离,因为作电子出偏转电场速度的反向延长线,必然经过偏转电场轴线的中点.
解答:解:(1)设电子经加速电场U1加速后以速度v进入偏转电场,由动能定理有
qU1=
mv2,v=
故电子进入偏转电场的速度 v=
(2)进入偏转电场后在电场线方向有,a=
经时间t1飞出电场有t1=
,飞出电场时偏转量为 y1=
at12
由以上各式得 y1=
故电子离开偏转电场时的偏转量y1=
(3)设电子从偏转场穿出时,沿y方向的速度为vy,穿出后到达屏S所经历的时间为t2,在此时间内电子在y方向移动的距离为y2,有
vy=at1 t2=
y2=vyt2
由以上各式得
y2=
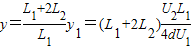
y=y1+y2=
(L1+2L2)
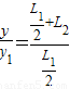
也可用相似比直接求y.即:
,
故电子到达屏S上时,它离O点的距离y=y1+y2=
(L1+2L2).
点评:解决本题的关键是搞清楚每一过程做的是什么运动,然后根据运动的合成与分解进行求解.
解答:解:(1)设电子经加速电场U1加速后以速度v进入偏转电场,由动能定理有
qU1=
故电子进入偏转电场的速度 v=
(2)进入偏转电场后在电场线方向有,a=
经时间t1飞出电场有t1=
由以上各式得 y1=
故电子离开偏转电场时的偏转量y1=
(3)设电子从偏转场穿出时,沿y方向的速度为vy,穿出后到达屏S所经历的时间为t2,在此时间内电子在y方向移动的距离为y2,有
vy=at1 t2=
由以上各式得
y2=
y=y1+y2=
也可用相似比直接求y.即:
故电子到达屏S上时,它离O点的距离y=y1+y2=
点评:解决本题的关键是搞清楚每一过程做的是什么运动,然后根据运动的合成与分解进行求解.
练习册系列答案
相关题目