题目内容
有一炮竖直向上发射炮弹,炮弹的质量为M=6.0kg(内含炸药的质量可以忽略不计),射出的初速度v=60m/s.当炮弹到达最高点时爆炸为沿水平方向运动的两片,其中一片质量为m=4.0kg.现要求这一片不能落到以发射点为圆心、以R=600m为半径的圆周范围内,则刚爆炸完时两弹片的总动能至少多大?(g=10/s2,忽略空气阻力)
【答案】分析:当炮弹到达最高点时爆炸为沿水平方向运动的两片,两片炸弹做平抛运动,根据平抛运动的知识求出一片炸弹的初速度,根据动量守恒定律得出另一块炸弹的初速度,从而得出刚爆炸完时两弹片的总动能.
解答:解:设炮弹止升到达最高点的高度为H,根据匀变速直线运动规律,有
解得:H=180m
设质量为m的弹片刚爆炸后的速度为v,另一块的速度为V,
根据动量守恒定律,有mv=(M-m)V
设质量为m的弹片运动的时间为t,根据平抛运动规律,有
解得t=6s.
R=vt
解得v=100m/s,V=200m/s.
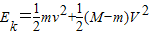
炮弹刚爆炸后,两弹片的总动能
解以上各式得
代入数值得
答:刚爆炸完时两弹片的总动能至少6.0×104J.
点评:本题涉及到竖直上抛运动、平抛运动,综合运用了动量守恒定律、能量守恒定律以及运动学公式,综合性强,关键理清运动过程,选择合适的规律求解.
解答:解:设炮弹止升到达最高点的高度为H,根据匀变速直线运动规律,有
解得:H=180m
设质量为m的弹片刚爆炸后的速度为v,另一块的速度为V,
根据动量守恒定律,有mv=(M-m)V
设质量为m的弹片运动的时间为t,根据平抛运动规律,有
解得t=6s.
R=vt
解得v=100m/s,V=200m/s.
炮弹刚爆炸后,两弹片的总动能
解以上各式得
代入数值得
答:刚爆炸完时两弹片的总动能至少6.0×104J.
点评:本题涉及到竖直上抛运动、平抛运动,综合运用了动量守恒定律、能量守恒定律以及运动学公式,综合性强,关键理清运动过程,选择合适的规律求解.
练习册系列答案
相关题目