题目内容
回旋加速器是用来加速带电粒子的装置,如图所示.它的核心部分是两个D形金属盒,两盒相距很近,分别和高频交流电源相连接,两盒间的窄缝中形成匀强电场,使带电粒子每次通过窄缝都得到加速.两盒放在匀强磁场中,磁场方向垂直于盒底面,带电粒子在磁场中做圆周运动,通过两盒间的窄缝时反复被加速,直到达到最大圆周半径时通过特殊装置被引出.现要增大粒子射出时的动能,下列所采取的方法可行的是( )A.增大电场的加速电压
B.增大磁场的磁感应强度
C.减小狭缝间的距离
D.增大D形盒的半径
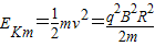
【答案】分析:根据洛伦兹力提供向心力,通过D形盒的半径求出粒子射出回旋加速器的速度,从而得知最大速度与什么因素有关.
解答:解:根据
,解得v=
,则最大动能
,则增大磁场的磁感应强度或增大D形盒的半径,可以增加粒子射出时的动能,与加速电压和狭缝间的距离无关.故B、D正确,A、C错误.
故选BD.
点评:解决本题的关键知道回旋加速器利用电场加速和磁场偏转来加速粒子,但是最大动能与加速的电压无关.
解答:解:根据
故选BD.
点评:解决本题的关键知道回旋加速器利用电场加速和磁场偏转来加速粒子,但是最大动能与加速的电压无关.
练习册系列答案
相关题目
| A、加速同一种带电粒子时,加速电压越大,粒子获得的最大动能越大 | ||||
| B、加速同一种带电粒子时,加速电压的频率越大,粒子获得的最大动能越大 | ||||
| C、加速同一种带电粒子时,D形盒中的磁场越强,粒子获得的最大动能越大 | ||||
D、加速器可以同时加速氚核(
|
| q |
| m |
| A、加速比荷较大的带电粒子所需的交流电源的周期一定较小 |
| B、加速比荷较大的带电粒子所需的交流电源的周期一定较大 |
| C、加速结束后比荷较大的带电粒子获得的最大动能一定较大 |
| D、加速结束后比荷较大的带电粒子获得的最大动能一定较小 |
3 1 |
4 2 |
| A、加速氚核的交流电源的周期较大 |
| B、加速α粒子的交流电源的周期较大 |
| C、加速氚核获得的最大动能也较小 |
| D、加速α粒子获得的最大动能较大 |