题目内容
已经证实,质子、中子都是由上夸克和下夸克的两种夸克组成的,上夸克带电为
【答案】分析:质子电量为+e,根据题意描述正确判断质子内的夸克组成情况,然后利用库伦定律即可求解正确结果.
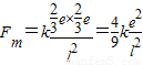
解答:解:质子带电为+e,所以它是由2个上夸克和1个下夸克组成的.按题意,三个夸克必位于等边三角形的三个顶点处.这时上夸克与上夸克之间的静电力应为:
①
代入数值,得:Fm=46N,为斥力,
上夸克与下夸克之间的静电力为:
③
代入数值,得Fnd=23N,为吸力.
答:上夸克之间的斥力为Fm=46N,上夸克和下夸克之间的引力为Fnd=23N.
点评:本题比较简单,考察了库伦定律的应用,要正确理解公式中各个物理量的含义以及公式成立条件.
解答:解:质子带电为+e,所以它是由2个上夸克和1个下夸克组成的.按题意,三个夸克必位于等边三角形的三个顶点处.这时上夸克与上夸克之间的静电力应为:
代入数值,得:Fm=46N,为斥力,
上夸克与下夸克之间的静电力为:
代入数值,得Fnd=23N,为吸力.
答:上夸克之间的斥力为Fm=46N,上夸克和下夸克之间的引力为Fnd=23N.
点评:本题比较简单,考察了库伦定律的应用,要正确理解公式中各个物理量的含义以及公式成立条件.
练习册系列答案
相关题目