题目内容
(1)图中;游标卡尺的示数是______mm.螺旋测微器的示数是______mm.(2)在“验证机械能守恒定律”的实验中:
①某同学用图10甲所示装置进行实验,得到如图10乙所示的纸带,A、B、C、D、E为连续的四个点,交流电的频率为50Hz,测出点A,C间的距离为14.77cm,点C,E间的距离为16.33cm,已知当地重力加速度为9.8m/s2,重锤的质量为m=1.0kg,则重锤在下落过程中受到的平均阻力大小Ff=______.
②某同学上交的实验报告显示重锤增加的动能略大于重锤减少的重力势能,则出现这一问题的原因可能是______(填序号).
A.重锤的质量测量错误; B.该同学自编了实验数据
C.交流电源的频率不等于50HZ; D.重锤下落时受到的阻力过大.
【答案】分析:(1)游标卡尺读数的方法是主尺读数加上游标读数,不需估读.螺旋测微器的读数方法是固定刻度读数加上可动刻度读数,在读可动刻度读数时需估读.
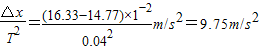
(2)根据△x=aT2求出纸带的加速度,根据牛顿第二定律求出平均阻力.
(3)由于存在阻力作用,所以重力势能的减小量应该略大于动能的增加量.原因可能自编了实验数据,或者交流电的频率不等于50Hz等.
解答:解:(1)游标卡尺的主尺读数为13mm,游标读数为0.05×8mm=0.40mm,所以最终读数为13.40mm.
螺旋测微器的固定刻度读数为5.5mm,可动刻度读数为0.01×20.0mm=0.200mm,所以最终读数为5.700mm.
(2)①根据△x=aT2得,a=
.
根据牛顿第二定律得,mg-f=ma.则f=mg-ma=1×(9.8-9.75)N=0.05N.
②A、重锤的质量测量错误不影响动能的增加量和重力势能的减小量.故A错误.
BC、自编了实验数据,交流电源的频率不等于50HZ可能导致重锤增加的动能略大于重锤减少的重力势能.故B、C正确.
D、重锤下落时受到的阻力过大会导致重力势能的减小量大于动能的增加量.故D错误.
故选BC.
故本题答案为:(1)13.40,5.700 (2)①0.05N ②BC
点评:解决本题的关键掌握游标卡尺和螺旋测微器的读数方法,以及掌握验证机械能守恒定律的步骤和原理.
(2)根据△x=aT2求出纸带的加速度,根据牛顿第二定律求出平均阻力.
(3)由于存在阻力作用,所以重力势能的减小量应该略大于动能的增加量.原因可能自编了实验数据,或者交流电的频率不等于50Hz等.
解答:解:(1)游标卡尺的主尺读数为13mm,游标读数为0.05×8mm=0.40mm,所以最终读数为13.40mm.
螺旋测微器的固定刻度读数为5.5mm,可动刻度读数为0.01×20.0mm=0.200mm,所以最终读数为5.700mm.
(2)①根据△x=aT2得,a=
根据牛顿第二定律得,mg-f=ma.则f=mg-ma=1×(9.8-9.75)N=0.05N.
②A、重锤的质量测量错误不影响动能的增加量和重力势能的减小量.故A错误.
BC、自编了实验数据,交流电源的频率不等于50HZ可能导致重锤增加的动能略大于重锤减少的重力势能.故B、C正确.
D、重锤下落时受到的阻力过大会导致重力势能的减小量大于动能的增加量.故D错误.
故选BC.
故本题答案为:(1)13.40,5.700 (2)①0.05N ②BC
点评:解决本题的关键掌握游标卡尺和螺旋测微器的读数方法,以及掌握验证机械能守恒定律的步骤和原理.
练习册系列答案
相关题目