题目内容
一列简谐横波由质点A向质点B传播.已知A、B两点相距4m,这列波的波长大于2m而小于20m.图表示在波的传播过程中A、B两质点的振动图象.求波的传播速度.
【答案】分析:通过振动图象得出周期的大小,以及A、B两点对应的位置关系,从而得出波长的大小,根据波长和周期求出波的传播速度.
解答:解:由图可知,T=0.4s,
,则
=
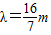
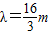
,因为2m<λ<20m,所以n只能取0和1.
当n=0时,
,则波速
.
当n=1时,
,则波速
.
答:波的传播速度为
或
.
点评:本题首先考查读图的能力,其次考查列通项式的能力.知道波传播的周期性.
解答:解:由图可知,T=0.4s,
当n=0时,
当n=1时,
答:波的传播速度为
点评:本题首先考查读图的能力,其次考查列通项式的能力.知道波传播的周期性.
练习册系列答案
相关题目