题目内容
在《验证机械能守恒定律》的实验中,质量为m的重锤从高处由静止开始下落,重锤上拖着的纸带通过打点计时器打出一系列的点,对纸带上的点进行测量,就可以验证机械能守恒定律.①如图所示,选取纸带上打出的连续五个点A、B、C、D、E,测出A点距起始点O的距离为s,点A、C间的距离为s1,点C、E间的距离为s2,使用的交流电的频率为f,用以上给出的已知量写出C点速度的表达式为vC=______,打点计时器在打O点到C点的这段时间内,重锤的重力势能的减少量为______,利用这个装置也可以测量重锤下落的加速度a,则加速度的表达式为a=______.
②在验证机械能守恒定律的实验中发现,重锤减小的重力势能总大于重锤增加的动能,其原因主要是因为在重锤带着纸带下落过程中存在着阻力的作用,若已知当地的重力加速度的值为g,用题目中给出的已知量表示重锤在下落过程中受到的平均阻力的大小F=______.
【答案】分析:解决实验问题首先要掌握该实验原理,了解实验的仪器、操作步骤和数据处理以及注意事项.
纸带法实验中,若纸带匀变速直线运动,测得纸带上的点间距,利用匀变速直线运动的推论,可计算出打出某点时纸带运动的瞬时速度,从而求出动能.根据功能关系得重力势能减小量等于重力做功的数值.
应用牛顿第二定律研究下落过程求出平均阻力的大小F.
解答:解:(1)利用匀变速直线运动的推论
vC=
=
根据重力势能的定义式得:
重力势能减小量△Ep=mgh=mg(s+s1).
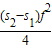
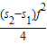
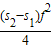
利用匀变速直线运动的推论△x=at2得:
a=
=
=
(2)根据牛顿第二定律得:
F合=mg-f=ma
f=mg-ma=mg-m
故答案为:(1)
,mg(s+s1),
(2)mg-m
点评:纸带问题的处理是力学实验中常见的问题.我们可以纸带法实验中,若纸带匀变速直线运动,测得纸带上的点间距,利用匀变速直线运动的推论,可计算出打出某点时纸带运动的瞬时速度.
对于阻力的求解我们可以从牛顿第二定律角度求解,也可以运用动能定理去解决.
纸带法实验中,若纸带匀变速直线运动,测得纸带上的点间距,利用匀变速直线运动的推论,可计算出打出某点时纸带运动的瞬时速度,从而求出动能.根据功能关系得重力势能减小量等于重力做功的数值.
应用牛顿第二定律研究下落过程求出平均阻力的大小F.
解答:解:(1)利用匀变速直线运动的推论
vC=
根据重力势能的定义式得:
重力势能减小量△Ep=mgh=mg(s+s1).
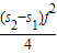
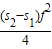
利用匀变速直线运动的推论△x=at2得:
a=
(2)根据牛顿第二定律得:
F合=mg-f=ma
f=mg-ma=mg-m
故答案为:(1)
(2)mg-m
点评:纸带问题的处理是力学实验中常见的问题.我们可以纸带法实验中,若纸带匀变速直线运动,测得纸带上的点间距,利用匀变速直线运动的推论,可计算出打出某点时纸带运动的瞬时速度.
对于阻力的求解我们可以从牛顿第二定律角度求解,也可以运用动能定理去解决.
练习册系列答案
相关题目