题目内容
关于下列说法正确的是( )A.变化的电场一定产生变化的磁场;变化的磁场一定产生变化的电场
B.α粒子散射实验揭示了原子的可能能量状态是不连续的
C.当氢原子从n=3的状态跃迁到n=2的状态时,发射出光子,核外电子动能增加
D.核力与万有引力都是只有引力,没有斥力
【答案】分析:变化的电场产生磁场,变化的磁场产生电场.α粒子散射实验揭示了原子的核式结构模型.根据电子轨道半径的变化,通过库仑引力提供向心力,比较电子动能的变化.核力有引力也有斥力.
解答:解:A、均匀变化的磁场产生稳定的电场,均匀变化的电场产生稳定的磁场.故A错误.
B、α粒子散射实验揭示了原子的核式结构模型.故B错误.
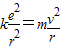
C、当氢原子从n=3的状态跃迁到n=2的状态时,能量减小,向外辐射光子,轨道半径减小,根据
,知轨道半径减小,动能增加.故C正确.
D、核力有引力也有斥力.故D错误.
故选C.
点评:本题考查了电磁场理论、α粒子散射实验、能级跃迁等基础知识点,难度不大,关键要熟悉教材,牢记这些基础知识点的基本概念和基本规律.
解答:解:A、均匀变化的磁场产生稳定的电场,均匀变化的电场产生稳定的磁场.故A错误.
B、α粒子散射实验揭示了原子的核式结构模型.故B错误.
C、当氢原子从n=3的状态跃迁到n=2的状态时,能量减小,向外辐射光子,轨道半径减小,根据
D、核力有引力也有斥力.故D错误.
故选C.
点评:本题考查了电磁场理论、α粒子散射实验、能级跃迁等基础知识点,难度不大,关键要熟悉教材,牢记这些基础知识点的基本概念和基本规律.
练习册系列答案
相关题目
类比是一种有效的学习方法.某同学对机械波和电磁波进行类比,总结出下列内容,关于下列说法正确的是( )
| A、机械波的频率、波长和波速三者满足的关系,对电磁波也适用 | B、机械波和电磁波都能产生干涉和衍射现象 | C、机械波的传播依赖于介质,而电磁波可以在真空中传播 | D、机械波既有横波又有纵波,而电磁波只有纵波 | E、机械波与电磁波都是机械振动产生的 |
| A、当A极板向B板靠近时,静电计指针张角变大 | B、当A极板向向上平移一小段距离后,静电计指针张角变小 | C、在AB极板间插入一块与极板形状相同的金属板后,小球的摆线与竖直方向的偏转角θ变大 | D、当A极板远离B板平移一段距离时,小球的电势能变小 |