题目内容
2012年6月18日,“神舟九号”飞船与“天宫一号”目标飞行器成功实现自动交会对接。设地球半径为R,地面重力加速度为g 。对接成功后“神州九号”和“天宫一号”一起绕地球运行的轨道可视为圆轨道,轨道离地面高度约为
,运行周期为T,则
A.对接成功后,“神舟九号”飞船里的宇航员受到的重力为零
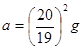
B.对接成功后,“神舟九号”飞船的加速度为
g
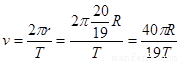
C.对接成功后,“神舟九号”飞船的线速度为![]()
D.地球质量为
3
R3
![]()
【答案】
CD
【解析】
试题分析:飞船里的宇航员受到的重力的作用,由于重力完全用来提供向心力,处于完全失重状态,A错误; 对于近地卫星有:
,对于飞船有
,又有
,联立以上三个方程解得:
,B错误,对接成功后,飞船的线速度为:
,C正确,对于飞船有万有引力提供向心力得:
,解得地球的质量为:
,D正确。
考点:本题考查了万有引力定律及圆周运动的知识
练习册系列答案
相关题目
2012年6月18日,“神舟九号”飞船与“天宫一号”目标飞行器成功实现自动交会对接.设地球半径为R,地球表面重力加速度为g.对接成功后“神舟九号”和“天宫一号”一起绕地球运行的轨道可视为圆轨道,轨道离地球表面高度约为
R,运行周期为T,则( )
| 1 |
| 19 |
A、地球质量为(
| ||||
B、对接成功后,“神舟九号”飞船的线速度为
| ||||
| C、对接成功后,“神舟九号”飞船里的宇航员受到的重力为零 | ||||
| D、对接成功后,“神舟九号”飞船的加速度为g |