题目内容
一辆长途汽车,在一条公路上单向直线行驶,以20m/s速度行驶全程的
【答案】分析:先算出以20m/s 的速度行驶了整个路程的
所用的时间,再算出以30m/s的速度行驶了整个路程的
所用的时间,汽车行驶完全程的平均速度为总路程与总时间的商.
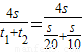
解答:解:设总路程为4s,v1=20 m/s,v2=30 m/s
则前
路程所用时间为:
后
路程所用时间为:
所以整个过程平均速度为:
=
═26.7m/s
答:汽车在全程内的平均速度大小为26.7m/s
点评:本题考查了平均速度的计算,弄清前
路程用的时间与后
路程用的时间是解题的关键.
解答:解:设总路程为4s,v1=20 m/s,v2=30 m/s
则前
后
所以整个过程平均速度为:
答:汽车在全程内的平均速度大小为26.7m/s
点评:本题考查了平均速度的计算,弄清前
练习册系列答案
相关题目