题目内容

如图所示,已知电源电动势为E,内电阻为r,两个定值电阻阻值分别为R1及R2,R是可变电阻.求R为何值时它消耗的电功率最大?最大功率是多大?

答案:
解析:

解:通过变阻器R的电流为IR=

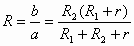
变阻器R消耗的电功率P=IR2昍,将上式代入并整理,得

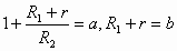
,为了简化,设

经简化整理,得.当时,P最大,


练习册系列答案
相关题目

违法和不良信息举报电话:027-86699610 举报邮箱:58377363@163.com

精英家教网