题目内容
质量是500g的足球被踢出后,某人观察它在空中的飞行情况,估计上升的最大高度是10m,在最高点的速度为20m/s。请你根据这个估计,计算运动员踢球时对足球做的功。
答案:149J
解析:
解析:
|
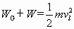
解析:设人将足球踢出的过程中,人对球做的功为 W,从人踢球到上升至最大高度过程中根据动能定理得
|
练习册系列答案
相关题目
质量是500g的足球被踢出后,上升的最大高度是8m,在最高点的速度为20m/s,则运动员踢球时对球做的功( )
| A、40J | B、100J | C、140J | D、60J |