题目内容
某同学在资料上发现弹簧振子的周期公式为(1)系统在振动过程中,所具有的最大动能Ek=______
【答案】分析:(1)弹丸与滑块碰撞瞬间动量守恒,根据动量守恒可以求解出碰后瞬间的动能即为系统的最大动能.
(2)滑块离开平衡位置以后,第二次到达平衡位置的时间间隔为一个周期.
(3)已知周期T,根据
求出弹簧的劲度系数,再根据弹性势能公式
求出最大弹性势能,注意弹簧振子的质量是两个物体质量之和,即M+m.
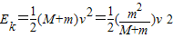
解答:解:(1)弹丸和滑块碰撞瞬间动量守恒,因此有:
mv=(M+m)v
碰后的最大动能为:
故答案为:
(2)滑块离开平衡位置以后,第二次到达平衡位置的时间间隔为一个周期.由图乙可知,振动周期的大小为2T.
故该系统的振动周期的大小为2T.
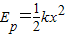
(3)由周期公式为
得:
,所以求出:
所以由弹性势能公式为成
得:

故答案为:
.
点评:本题解题简谐运动的知识考查了动量守恒以及功能关系的应用,属于信息给予题,考查学生对所学知识的综合应用能力.
(2)滑块离开平衡位置以后,第二次到达平衡位置的时间间隔为一个周期.
(3)已知周期T,根据
解答:解:(1)弹丸和滑块碰撞瞬间动量守恒,因此有:
mv=(M+m)v
碰后的最大动能为:
故答案为:
(2)滑块离开平衡位置以后,第二次到达平衡位置的时间间隔为一个周期.由图乙可知,振动周期的大小为2T.
故该系统的振动周期的大小为2T.
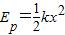
(3)由周期公式为
所以由弹性势能公式为成
故答案为:
点评:本题解题简谐运动的知识考查了动量守恒以及功能关系的应用,属于信息给予题,考查学生对所学知识的综合应用能力.
练习册系列答案
相关题目