题目内容

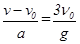
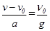
给滑块一初速度v0,使它沿光滑斜面向上作匀减速运动,加速度大小为,当滑块速度大小变为 时,所用时间可能是

A.         B.         C.         D.

 

【答案】

BC

【解析】

试题分析:规定初速度的方向为正方向,若滑块的末速度与初速度方向相同,则t=.若滑块的末速度与初速度方向相反,则t=.故B、C正确,A、D错误.故选BC.

考点:匀变速直线运动的位移与时间的关系;匀变速直线运动的速度与时间的关系.

 

练习册系列答案
相关题目

违法和不良信息举报电话:027-86699610 举报邮箱:58377363@163.com

精英家教网