题目内容
一物体以初速度为v做匀减速运动,第1s内通过的位移为x1=3m,第2s内通过的位移为x2=2m,又经过位移x3物体的速度减小为0,则下列说法中不正确的是( )A.初速度v的大小为2.5m/s
B.加速度a的大小为1m/s2
C.位移x3的大小为9/8m
D.位移x3内的平均速度大小为0.75m/s
【答案】分析:根据连续相等时间内的位移之差是一恒量求出物体的加速度,再通过位移时间公式求出初速度的大小.根据速度时间公式求出2s末的速度,再通过速度位移公式求出位移x3的大小.
解答:解:AB、根据△x=at2得,a=
.根据x=
得,v=3.5m/s.故A错误,B正确.
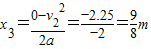
C、第2s末的速度v2=v+at=3.5-1×2m/s=1.5m/s,则
.故C正确.
D、位移x3内的平均速度大小
.故D正确.
本题选错误的,故选A.
点评:解决本题的关键掌握匀变速直线运动的运动学公式,并能灵活运用.
解答:解:AB、根据△x=at2得,a=
C、第2s末的速度v2=v+at=3.5-1×2m/s=1.5m/s,则
D、位移x3内的平均速度大小
本题选错误的,故选A.
点评:解决本题的关键掌握匀变速直线运动的运动学公式,并能灵活运用.
练习册系列答案
相关题目