题目内容

(9分)一半圆形玻璃砖,玻璃的折射率为,AB为其直径,长度为D, O为圆心,一束宽度恰等于玻璃砖半径的单色平行光束 垂直于AB从空气射入玻璃砖,其中心光线P通过O点,如图所示.M、N为光束边界光线.求:M、N射出玻璃砖后的相交点距O点 的距离。

 

 

【答案】

 

【解析】

试题分析:光路如图所示.           2分

由几何关系知,边界光线在圆形界面上的入射角

           2分

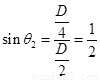
=30°               1分,

由折射定律n=,得sin=nsin=              1分

则折射角=60°          1分

=2×cot=D.             2分

考点:本题考查光的折射定律的应用.

 

练习册系列答案
相关题目

违法和不良信息举报电话:027-86699610 举报邮箱:58377363@163.com

精英家教网