题目内容
一矩形线框置于匀强磁场中,线框平面与磁场方向垂直,先保持线框的面积不变,将磁感应强度在1s 时间内均匀地增大到原来的两倍,接着保持增大后的磁感应强度不变,在1s 时间内,再将线框的面积均匀地减小到原来的一半,先后两个过程中,线框中感应电动势的比值为( )A.
B.1
C.2
D.4
【答案】分析:由题意可知两种情况下磁通量的变化,由法拉第电磁感应定律可求得感应电动势,即可求得比值.
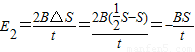
解答:解:由法拉第电磁感应定律:
,且△?1=△BS、△?2=B△S
则有
,
.
故两过程中感应电动势的大小相等.
故选B.
点评:本题考查法拉第电磁感应定律,注意根据题意求出磁通量的变化量即可求得电动势.
解答:解:由法拉第电磁感应定律:
则有
故两过程中感应电动势的大小相等.
故选B.
点评:本题考查法拉第电磁感应定律,注意根据题意求出磁通量的变化量即可求得电动势.
练习册系列答案
相关题目