ÌâÄ¿ÄÚÈÝ

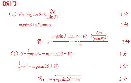
 (2013ÄêÕã½­ÎåУÁª¿¼)ÈçͼËùʾ£¬Çãб½Ç¶ÈΪ¦ÈµÄ´Ö²Ú³Ì¶È¾ùÔȵľøÔµÐ±Ã棬Ï·½Oµã´¦ÓÐÒ»´øµçÁ¿Îª+QµÄµãµçºÉ£¬ÖÊÁ¿Îªm¡¢´øµçÁ¿Îª-qµÄСÎïÌ壨¿É¿´³ÉÖʵ㣩ÓëÐ±Ãæ¼äµÄ¶¯Ä¦²ÁÒòÊýΪ¦Ì¡£ÏÖʹСÎïÌåÒÔ³õËÙ¶Èv0´ÓÐ±ÃæÉϵÄAµãÑØÐ±ÃæÉÏ»¬£¬µ½´ïBµãʱËÙ¶ÈΪÁ㣬ȻºóÓÖÏ»¬»Øµ½Aµã¡£Ð¡ÎïÌåËù´øµçºÉÁ¿±£³Ö²»±ä£¬¾²µçÁ¦³£ÊýΪk£¬ÖØÁ¦¼ÓËÙ¶ÈΪg£¬OA=OB=l¡£Çó£º

  £¨1£©Ð¡ÎïÌåÑØÐ±ÃæÉÏ»¬¾­¹ýABÖеãʱµÄ¼ÓËÙ¶È£»

  £¨2£©Ð¡ÎïÌå·µ»Øµ½Ð±ÃæÉϵÄAµãʱµÄËÙ¶È¡£

Á·Ï°²áϵÁдð°¸
Ïà¹ØÌâÄ¿

Î¥·¨ºÍ²»Á¼ÐÅÏ¢¾Ù±¨µç»°£º027-86699610 ¾Ù±¨ÓÊÏ䣺58377363@163.com

¾«Ó¢¼Ò½ÌÍø